🇳🇴 🇬🇧 🇩🇪 🇨🇿 🇫🇮

Meteor, poloha: Stavern 2025-02-16 17:42:25 UTC

Soubor KML  |  InteraktivnĂ­ mapa

Mapa zobrazuje dráhy meteoru. Světlejší čáry ukazují směry od pozorovacích stanic při objevení se meteoru a tmavší čáry, kde byl naposledy viděn. Modrá šipka značí viditelnou dráhu meteoru.

static map
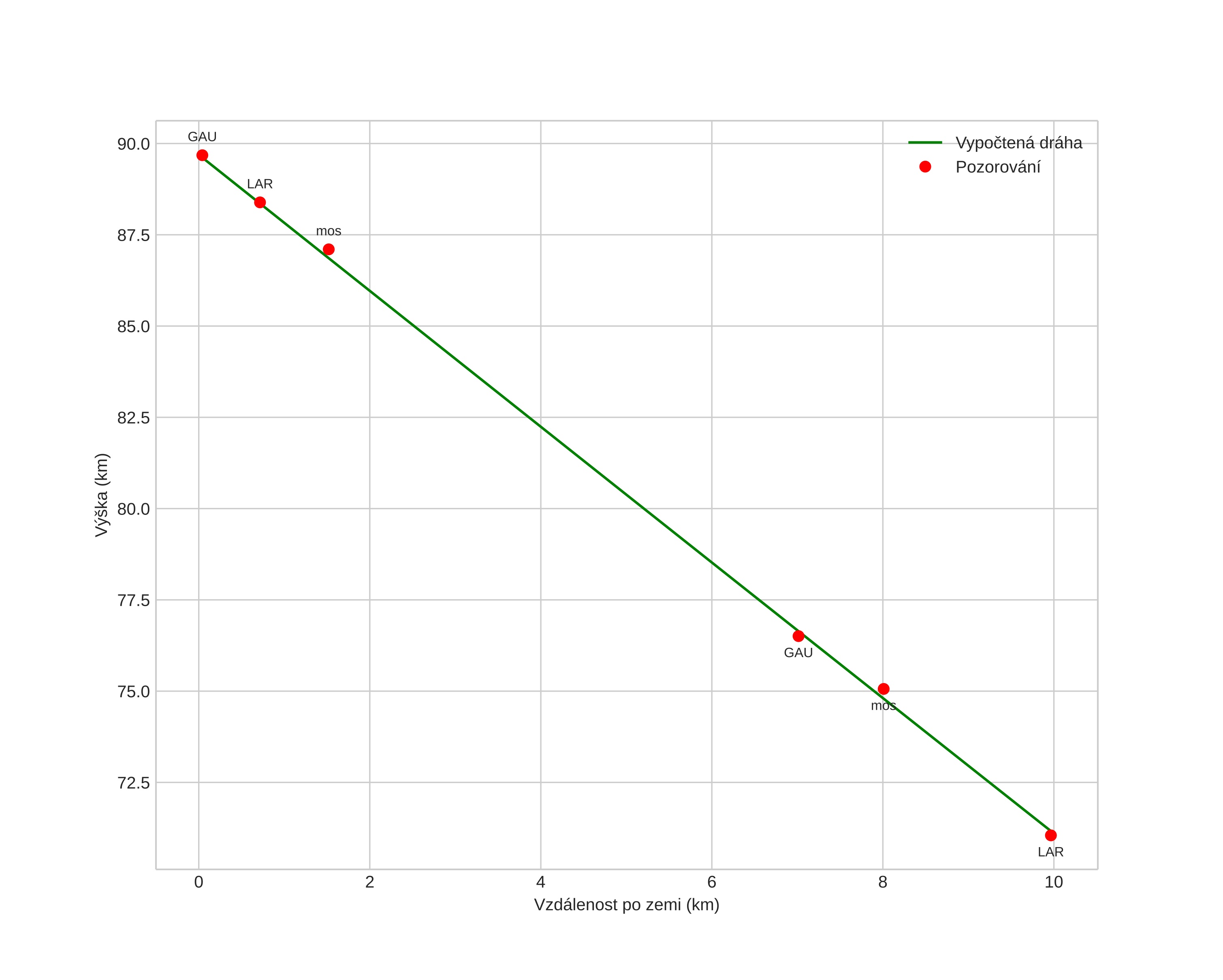
height profile
Atmosférická dráha meteoru:
Počáteční výška: 89,7 km
Konečná výška: 71,4 km
Počáteční poloha: 59,041N 9,922E
Konečná poloha: 58,951N 9,895E
Směr: 189,1°
Sklon: 61,0°
VstupnĂ­ rychlost: 22,0 km/s
Rektascenze radiantu: 09:49 (147,3°)
Deklinace radiantu: 86,1°
MeteorickĂ˝ roj: sporadickĂ˝
Elementy dráhy meteoroidu:
Vzdálenost v periheliu: 0,972 AU
Excentricita: 0,835
Sklon dráhy: 25,1°
Délka vzestupného uzlu: 328,0°
Argument perihelia: 195,2°
Střední anomálie: 359,2°
Epocha: 2025 FEB 16 17:42:25
orbit plot

NeinteraktivnĂ­ graf | InteraktivnĂ­ graf

position vs time
speed and acceleration