🇳🇴 🇬🇧 🇩🇪 🇨🇿 🇫🇮

Meteor, poloha: Pandrup 2025-02-16 20:55:36 UTC

Soubor KML  |  InteraktivnĂ­ mapa

Mapa zobrazuje dráhy meteoru. Světlejší čáry ukazují směry od pozorovacích stanic při objevení se meteoru a tmavší čáry, kde byl naposledy viděn. Modrá šipka značí viditelnou dráhu meteoru.

static map
height profile
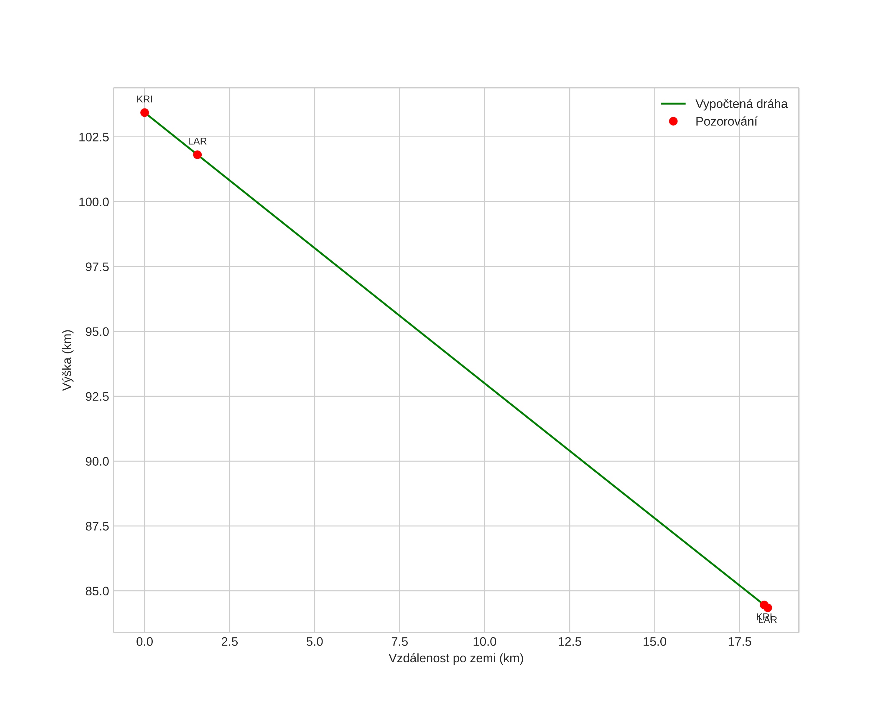
Atmosférická dráha meteoru:
Počáteční výška: 103,7 km
Konečná výška: 83,2 km
Počáteční poloha: 57,394N 9,764E
Konečná poloha: 57,349N 9,451E
Směr: 255,2°
Sklon: 46,6°
VstupnĂ­ rychlost: 40,2 km/s
Rektascenze radiantu: 12:03 (180,9°)
Deklinace radiantu: 44,7°
MeteorickĂ˝ roj: sporadickĂ˝
Elementy dráhy meteoroidu:
Vzdálenost v periheliu: 0,622 AU
Excentricita: 1,159
Sklon dráhy: 45,6°
Délka vzestupného uzlu: 328,1°
Argument perihelia: 251,9°
Střední anomálie: -4,4°
Epocha: 2025 FEB 16 20:55:36
orbit plot

NeinteraktivnĂ­ graf | InteraktivnĂ­ graf

position vs time
speed and acceleration