🇳🇴 🇬🇧 🇩🇪 🇨🇿 🇫🇮

Meteor, poloha: Årøysund 2025-02-17 01:08:21 UTC

Soubor KML  |  InteraktivnĂ­ mapa

Mapa zobrazuje dráhy meteoru. Světlejší čáry ukazují směry od pozorovacích stanic při objevení se meteoru a tmavší čáry, kde byl naposledy viděn. Modrá šipka značí viditelnou dráhu meteoru.

static map
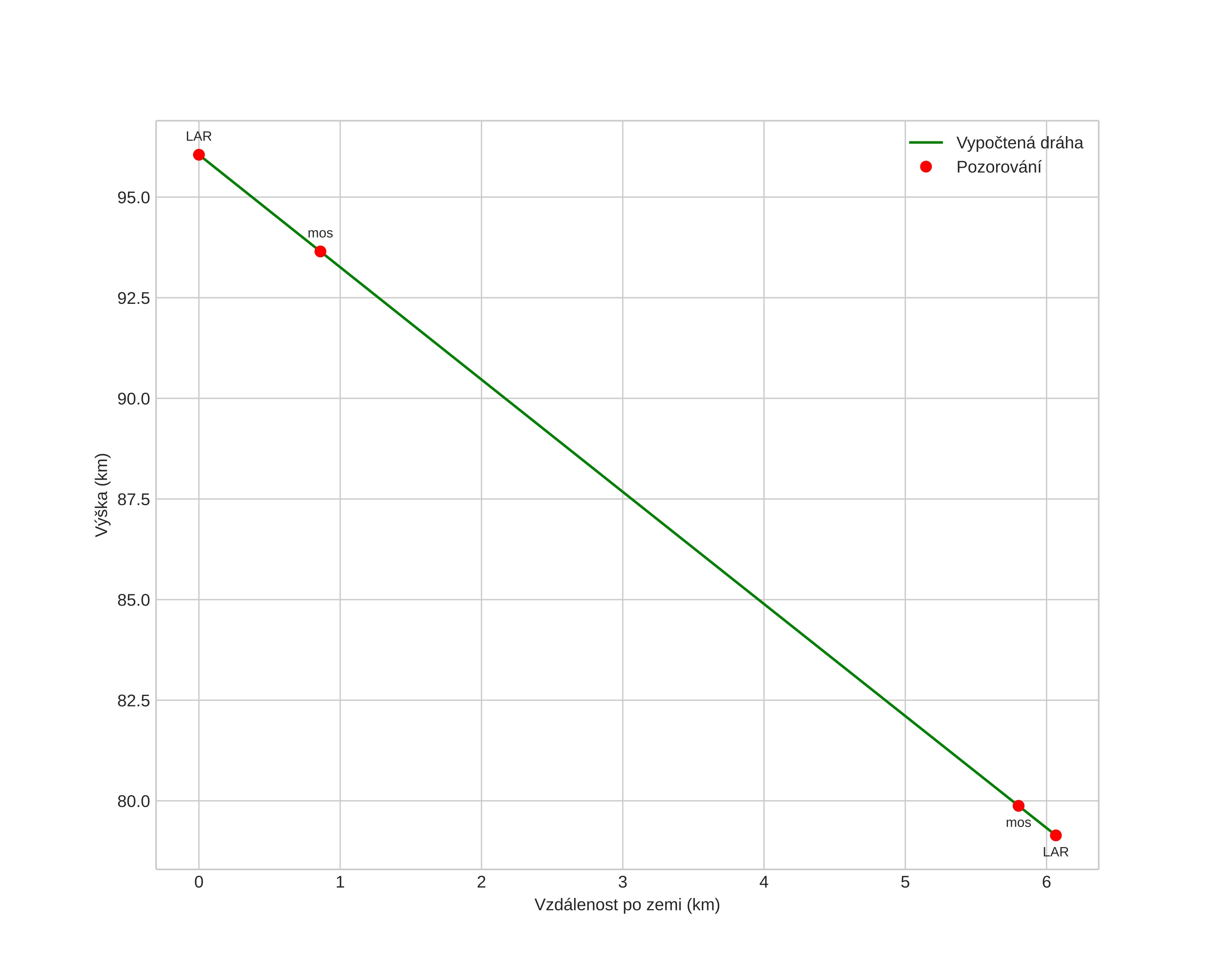
height profile
Atmosférická dráha meteoru:
Počáteční výška: 96,0 km
Konečná výška: 78,9 km
Počáteční poloha: 59,124N 10,477E
Konečná poloha: 59,145N 10,574E
Směr: 67,1°
Sklon: 70,7°
VstupnĂ­ rychlost: 27,2 km/s
Rektascenze radiantu: 09:42 (145,7°)
Deklinace radiantu: 47,2°
MeteorickĂ˝ roj: sporadickĂ˝
Elementy dráhy meteoroidu:
Vzdálenost v periheliu: 0,788 AU
Excentricita: 1,085
Sklon dráhy: 19,6°
Délka vzestupného uzlu: 328,3°
Argument perihelia: 232,3°
Střední anomálie: -1,1°
Epocha: 2025 FEB 17 01:08:21
orbit plot

NeinteraktivnĂ­ graf | InteraktivnĂ­ graf

position vs time
speed and acceleration