🇳🇴 🇬🇧 🇩🇪 🇨🇿 🇫🇮

Meteor, poloha: Ă…l 2025-02-17 02:14:10 UTC

Soubor KML  |  InteraktivnĂ­ mapa

Mapa zobrazuje dráhy meteoru. Světlejší čáry ukazují směry od pozorovacích stanic při objevení se meteoru a tmavší čáry, kde byl naposledy viděn. Modrá šipka značí viditelnou dráhu meteoru.

static map
height profile
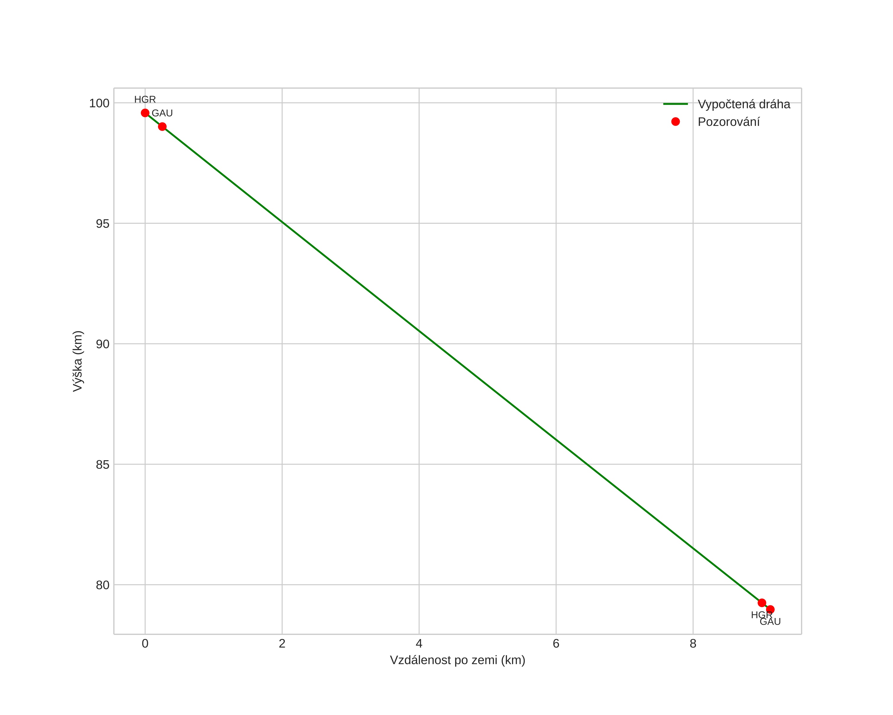
Atmosférická dráha meteoru:
Počáteční výška: 99,9 km
Konečná výška: 78,8 km
Počáteční poloha: 60,785N 8,793E
Konečná poloha: 60,733N 8,658E
Směr: 232,2°
Sklon: 66,1°
VstupnĂ­ rychlost: 28,8 km/s
Rektascenze radiantu: 16:21 (245,4°)
Deklinace radiantu: 66,9°
MeteorickĂ˝ roj: sporadickĂ˝
Elementy dráhy meteoroidu:
Vzdálenost v periheliu: 0,976 AU
Excentricita: 0,701
Sklon dráhy: 42,3°
Délka vzestupného uzlu: 328,3°
Argument perihelia: 193,8°
Střední anomálie: 358,3°
Epocha: 2025 FEB 17 02:14:10
orbit plot

NeinteraktivnĂ­ graf | InteraktivnĂ­ graf

position vs time
speed and acceleration