🇳🇴 🇬🇧 🇩🇪 🇨🇿 🇫🇮

Meteor, poloha: Rødberg 2025-02-17 04:38:50 UTC

Soubor KML  |  InteraktivnĂ­ mapa

Mapa zobrazuje dráhy meteoru. Světlejší čáry ukazují směry od pozorovacích stanic při objevení se meteoru a tmavší čáry, kde byl naposledy viděn. Modrá šipka značí viditelnou dráhu meteoru.

static map
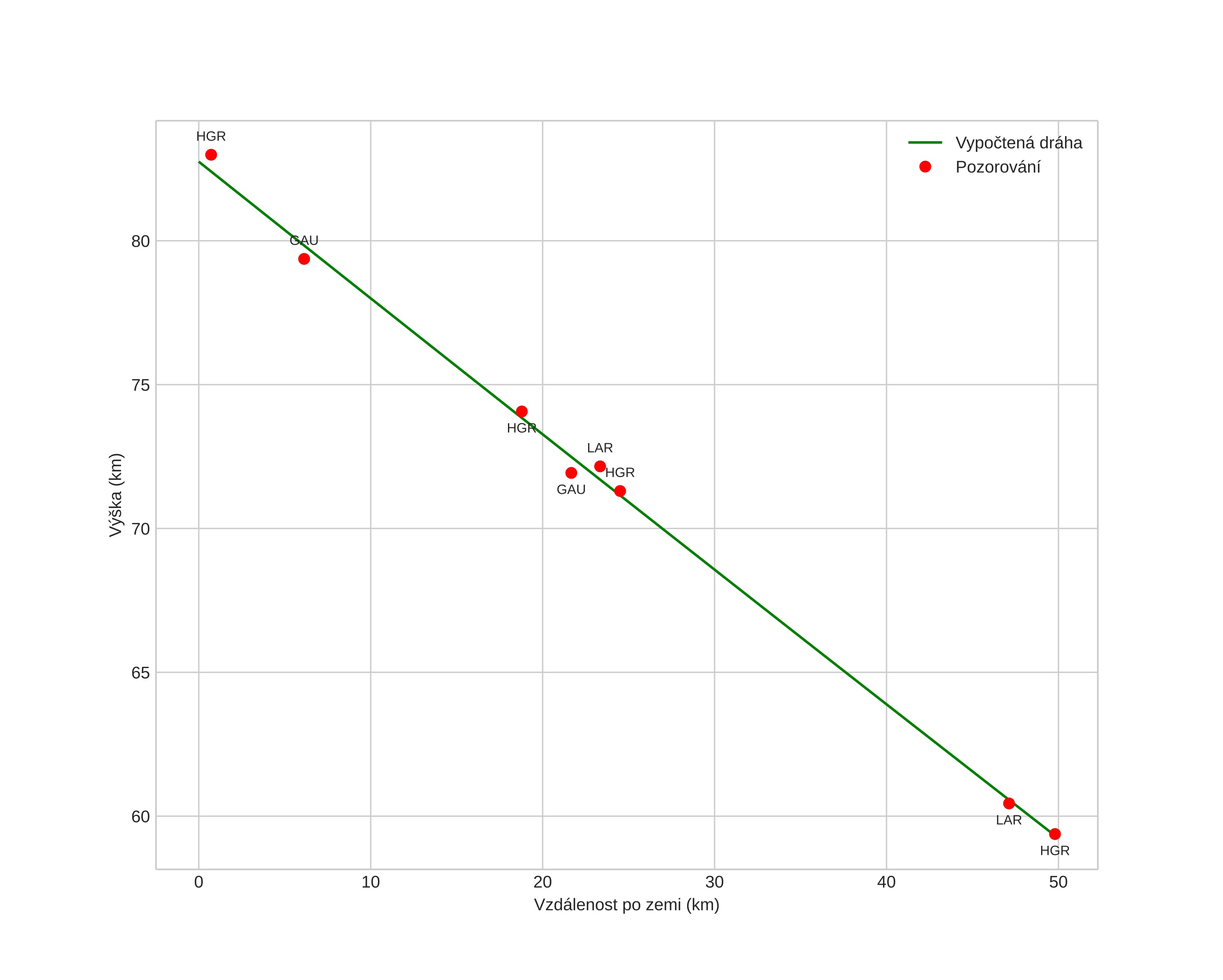
height profile
Atmosférická dráha meteoru:
Počáteční výška: 82,8 km
Konečná výška: 59,2 km
Počáteční poloha: 60,580N 9,649E
Konečná poloha: 60,254N 9,020E
Směr: 223,9°
Sklon: 25,2°
VstupnĂ­ rychlost: 17,4 km/s
Rektascenze radiantu: 23:28 (352,2°)
Deklinace radiantu: 35,5°
MeteorickĂ˝ roj: sporadickĂ˝
Elementy dráhy meteoroidu:
Vzdálenost v periheliu: 0,930 AU
Excentricita: 0,704
Sklon dráhy: 11,6°
Délka vzestupného uzlu: 328,4°
Argument perihelia: 149,1°
Střední anomálie: 4,0°
Epocha: 2025 FEB 17 04:38:50
orbit plot

NeinteraktivnĂ­ graf | InteraktivnĂ­ graf

position vs time
speed and acceleration