🇳🇴 🇬🇧 🇩🇪 🇨🇿 🇫🇮

Meteor, poloha: Langesund 2025-02-17 21:49:50 UTC

Soubor KML  |  InteraktivnĂ­ mapa

Mapa zobrazuje dráhy meteoru. Světlejší čáry ukazují směry od pozorovacích stanic při objevení se meteoru a tmavší čáry, kde byl naposledy viděn. Modrá šipka značí viditelnou dráhu meteoru.

static map
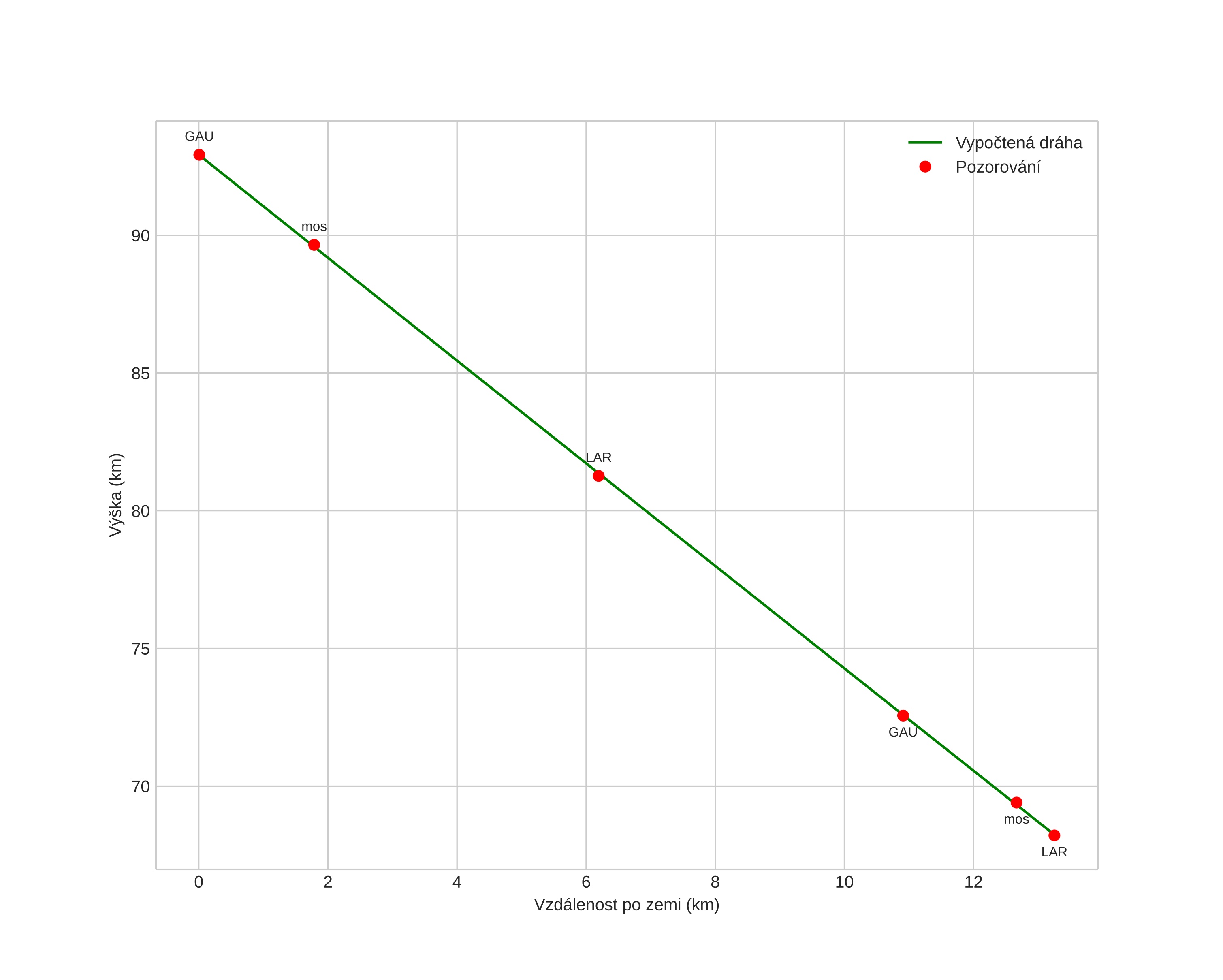
height profile
Atmosférická dráha meteoru:
Počáteční výška: 93,0 km
Konečná výška: 68,1 km
Počáteční poloha: 59,177N 9,840E
Konečná poloha: 59,058N 9,833E
Směr: 181,7°
Sklon: 62,0°
VstupnĂ­ rychlost: 20,9 km/s
Rektascenze radiantu: 08:43 (130,8°)
Deklinace radiantu: 89,5°
MeteorickĂ˝ roj: sporadickĂ˝
Elementy dráhy meteoroidu:
Vzdálenost v periheliu: 0,980 AU
Excentricita: 0,769
Sklon dráhy: 24,1°
Délka vzestupného uzlu: 329,1°
Argument perihelia: 191,2°
Střední anomálie: 359,1°
Epocha: 2025 FEB 17 21:49:50
orbit plot

NeinteraktivnĂ­ graf | InteraktivnĂ­ graf

position vs time
speed and acceleration