🇳🇴 🇬🇧 🇩🇪 🇨🇿 🇫🇮

Meteor, poloha: Anderstorp 2025-02-18 00:12:10 UTC

Soubor KML  |  InteraktivnĂ­ mapa

Mapa zobrazuje dráhy meteoru. Světlejší čáry ukazují směry od pozorovacích stanic při objevení se meteoru a tmavší čáry, kde byl naposledy viděn. Modrá šipka značí viditelnou dráhu meteoru.

static map
height profile
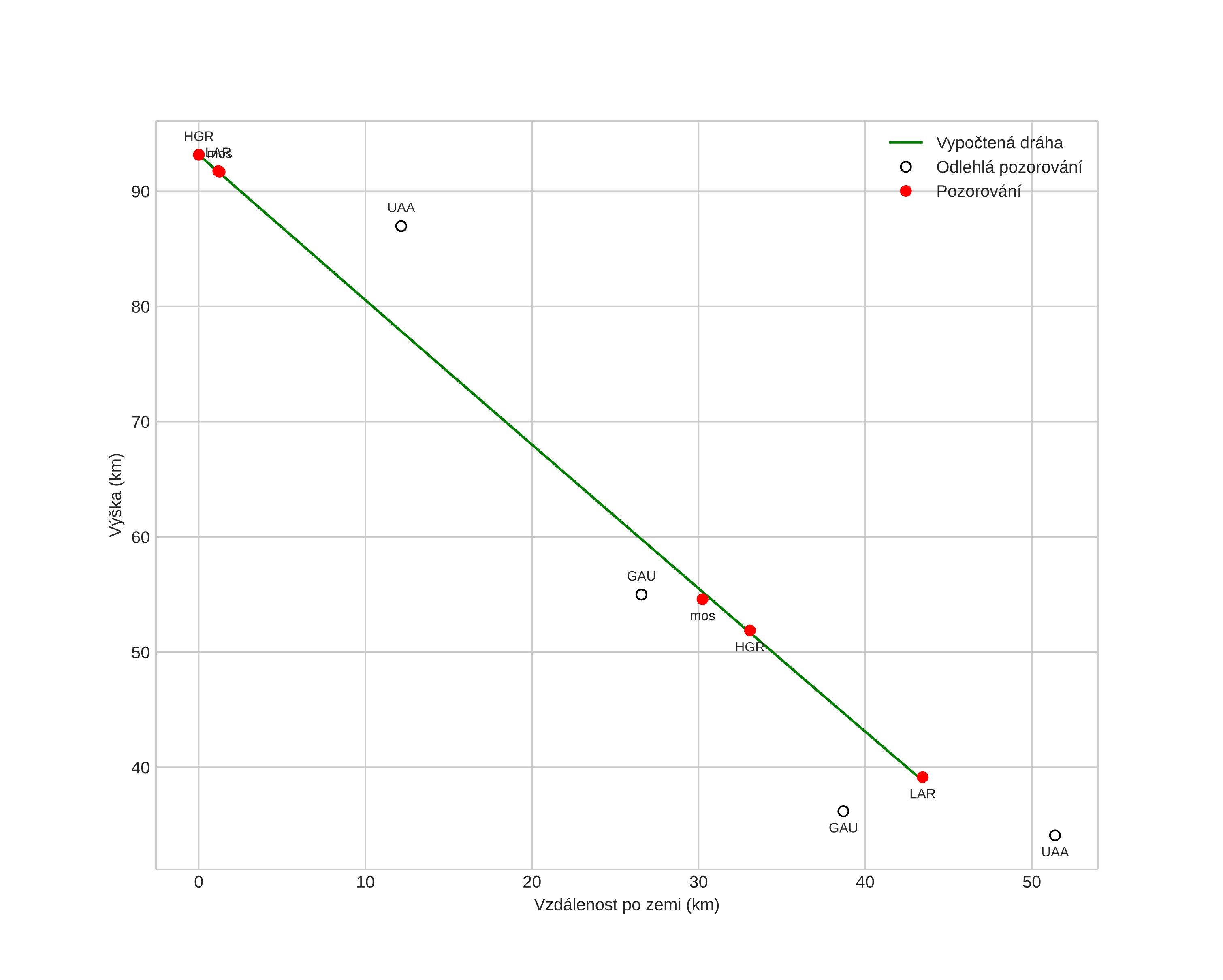
Atmosférická dráha meteoru:
Počáteční výška: 93,4 km
Konečná výška: 38,7 km
Počáteční poloha: 59,226N 14,867E
Konečná poloha: 58,895N 14,446E
Směr: 213,4°
Sklon: 51,2°
VstupnĂ­ rychlost: 25,9 km/s
Rektascenze radiantu: 17:56 (269,1°)
Deklinace radiantu: 68,9°
MeteorickĂ˝ roj: sporadickĂ˝
Elementy dráhy meteoroidu:
Vzdálenost v periheliu: 0,988 AU
Excentricita: 0,665
Sklon dráhy: 37,0°
Délka vzestupného uzlu: 329,2°
Argument perihelia: 180,8°
Střední anomálie: 359,9°
Epocha: 2025 FEB 18 00:12:10
orbit plot

NeinteraktivnĂ­ graf | InteraktivnĂ­ graf

position vs time
speed and acceleration