🇳🇴 🇬🇧 🇩🇪 🇨🇿 🇫🇮

Meteor Ludvikan yllä 2025-02-18 00:39:38 UTC

KML-tiedosto  |  Interaktiivinen kartta

Kartta näyttää meteorin suuntahavainnot. Vaaleammat viivat näyttävät suunnat havaintoasemilta meteorin ilmestyessä, ja tummemmat viivat näyttävät, missä se viimeksi nähtiin. Sininen nuoli näyttää meteorin näkyvän lennon.

static map
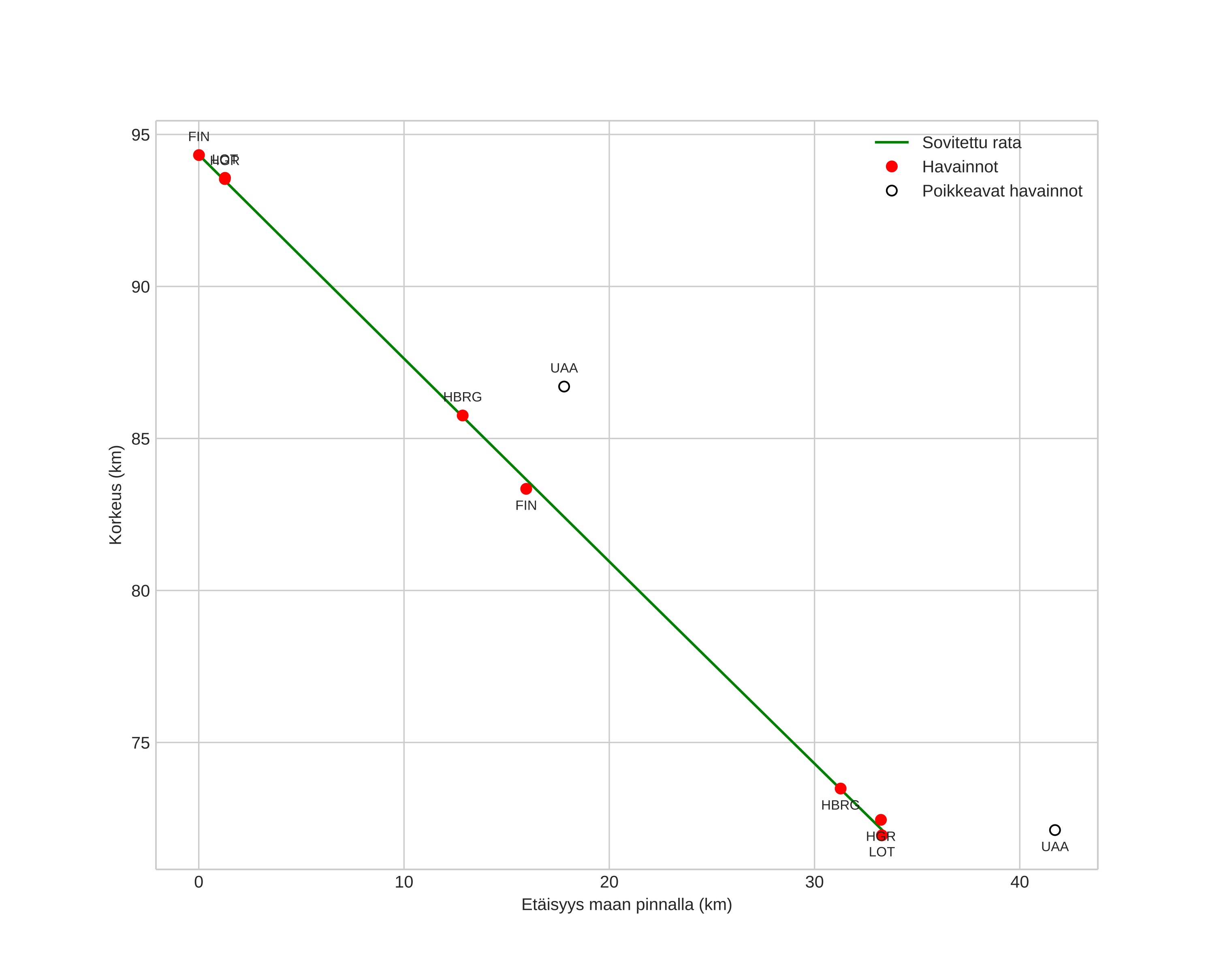
height profile
Meteorin ilmakehärata:
Alkukorkeus: 96,3 km
Loppukorkeus: 72,6 km
Alkupiste: 60,422N 15,313E
Loppupiste: 60,112N 15,110E
Suunta: 198,1°
Kallistuskulma: 33,2°
Tulonopeus: 22,7 km/s
Radiantin R,A,: 21:38 (324,7°)
Radiantin Dekl,: 56,5°
Meteoriparvi: Sporadinen
Meteoroidin rataelementit:
Perihelietäisyys: 0,949 AU
Eksentrisyys: 0,807
Inklinaatio: 26,4°
Nousevan solmun pituus: 329,3°
Perihelin argumentti: 155,5°
Keskianomalia: 1,6°
Epookki: 2025 FEB 18 00:39:38
orbit plot

Ei-interaktiivinen kuvaaja | Interaktiivinen kuvaaja

position vs time
speed and acceleration

Finnskogen (FIN) cam2


gnomonic
Videot:
• Gnomoninen
• Gnomoninen koordinaateilla
• Alkuperäinen
• Alkuperäinen koordinaateilla
Kuvat:
• Gnomoninen
• Gnomoninen koordinaateilla
• Alkuperäinen
• Alkuperäinen koordinaateilla
Tekstitiedostot:
• Havaintoraportti
• Observaatio
• Koordinaatit
• Loki
Kirkkaus