🇳🇴 🇬🇧 🇩🇪 🇨🇿 🇫🇮

Meteor, poloha: Eidfjord 2025-02-18 05:04:29 UTC

Soubor KML  |  InteraktivnĂ­ mapa

Mapa zobrazuje dráhy meteoru. Světlejší čáry ukazují směry od pozorovacích stanic při objevení se meteoru a tmavší čáry, kde byl naposledy viděn. Modrá šipka značí viditelnou dráhu meteoru.

static map
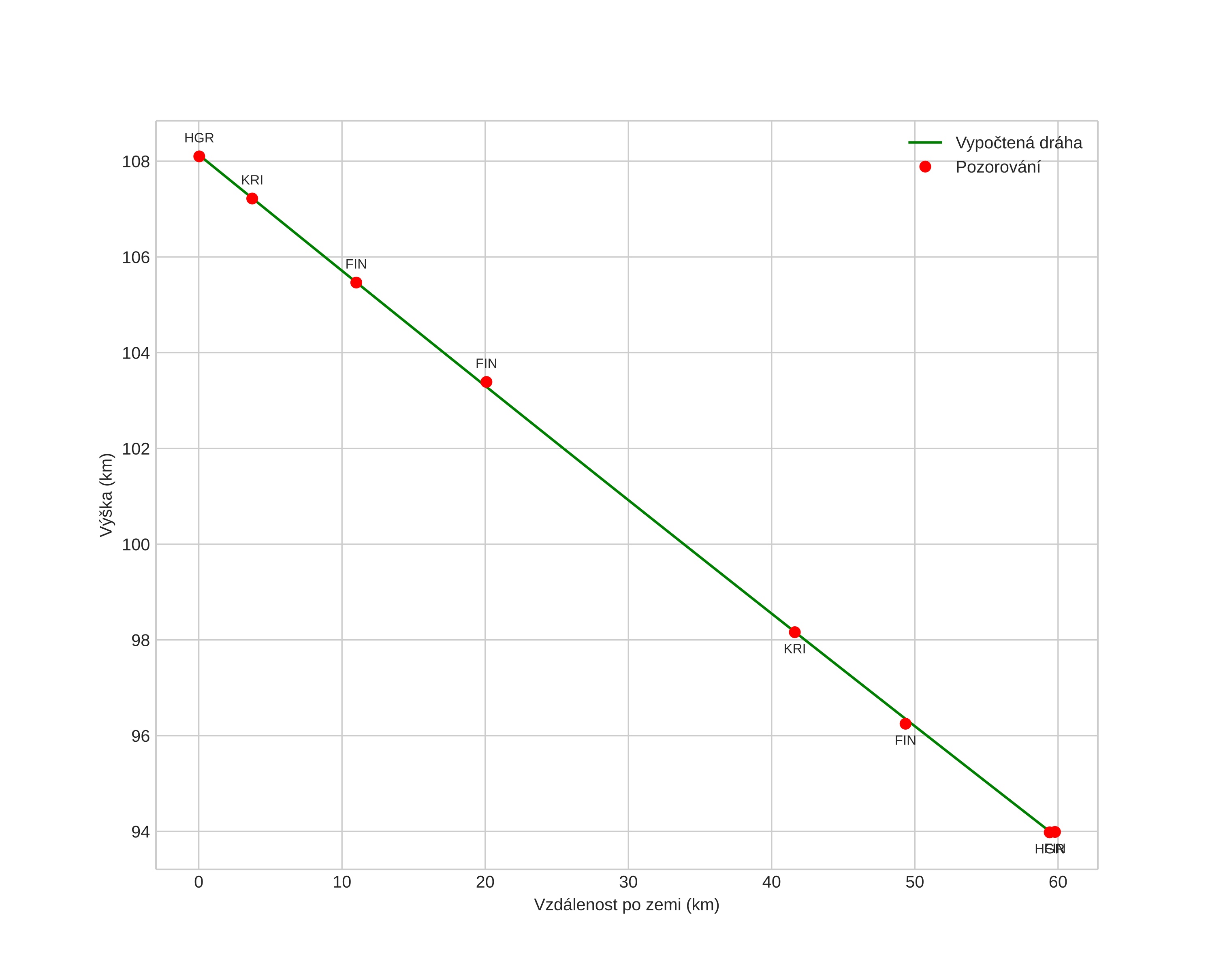
height profile
Atmosférická dráha meteoru:
Počáteční výška: 111,1 km
Konečná výška: 94,0 km
Počáteční poloha: 59,976N 8,220E
Konečná poloha: 60,313N 7,091E
Směr: 301,4°
Sklon: 13,2°
VstupnĂ­ rychlost: 52,8 km/s
Rektascenze radiantu: 19:15 (288,9°)
Deklinace radiantu: -4,2°
MeteorickĂ˝ roj: sporadickĂ˝
Elementy dráhy meteoroidu:
Vzdálenost v periheliu: 0,140 AU
Excentricita: 0,986
Sklon dráhy: 93,9°
Délka vzestupného uzlu: 329,4°
Argument perihelia: 43,1°
Střední anomálie: 1,1°
Epocha: 2025 FEB 18 05:04:29
orbit plot

NeinteraktivnĂ­ graf | InteraktivnĂ­ graf

position vs time
speed and acceleration