🇳🇴 🇬🇧 🇩🇪 🇨🇿 🇫🇮

Meteor Rødbergin yllä 2025-02-18 19:57:08 UTC

KML-tiedosto  |  Interaktiivinen kartta

Kartta näyttää meteorin suuntahavainnot. Vaaleammat viivat näyttävät suunnat havaintoasemilta meteorin ilmestyessä, ja tummemmat viivat näyttävät, missä se viimeksi nähtiin. Sininen nuoli näyttää meteorin näkyvän lennon.

static map
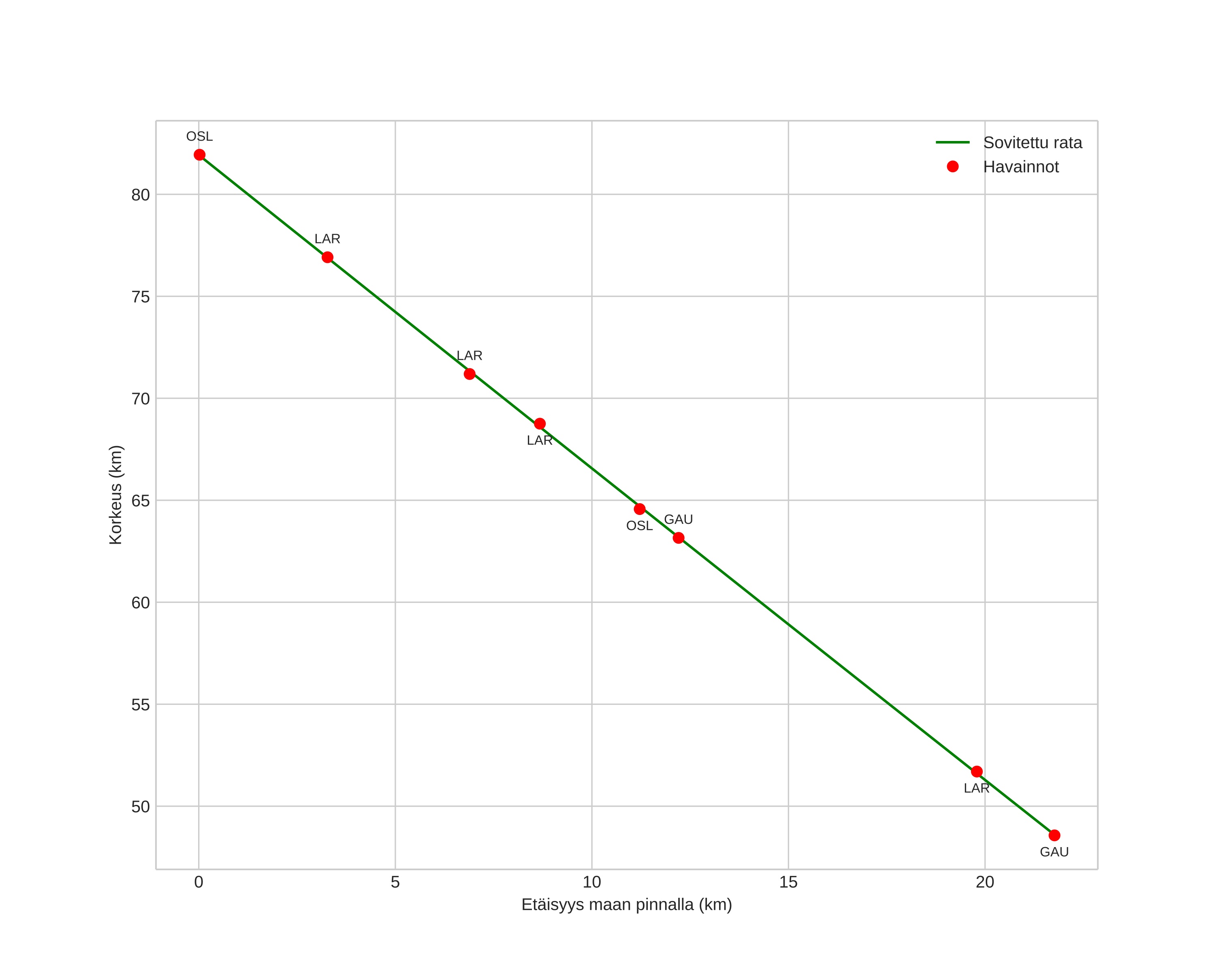
height profile
Meteorin ilmakehärata:
Alkukorkeus: 81,6 km
Loppukorkeus: 48,6 km
Alkupiste: 60,341N 8,455E
Loppupiste: 60,420N 8,815E
Suunta: 65,9°
Kallistuskulma: 56,8°
Tulonopeus: 13,2 km/s
Radiantin R,A,: 03:17 (49,5°)
Radiantin Dekl,: 29,1°
Meteoriparvi: Sporadinen
Meteoroidin rataelementit:
Perihelietäisyys: 0,987 AU
Eksentrisyys: 0,560
Inklinaatio: 2,1°
Nousevan solmun pituus: 330,0°
Perihelin argumentti: 175,5°
Keskianomalia: 1,1°
Epookki: 2025 FEB 18 19:57:08
orbit plot

Ei-interaktiivinen kuvaaja | Interaktiivinen kuvaaja

position vs time
speed and acceleration