🇳🇴 🇬🇧 🇩🇪 🇨🇿 🇫🇮

Meteor, poloha: Hov 2025-02-19 03:48:57 UTC

Soubor KML  |  InteraktivnĂ­ mapa

Mapa zobrazuje dráhy meteoru. Světlejší čáry ukazují směry od pozorovacích stanic při objevení se meteoru a tmavší čáry, kde byl naposledy viděn. Modrá šipka značí viditelnou dráhu meteoru.

static map
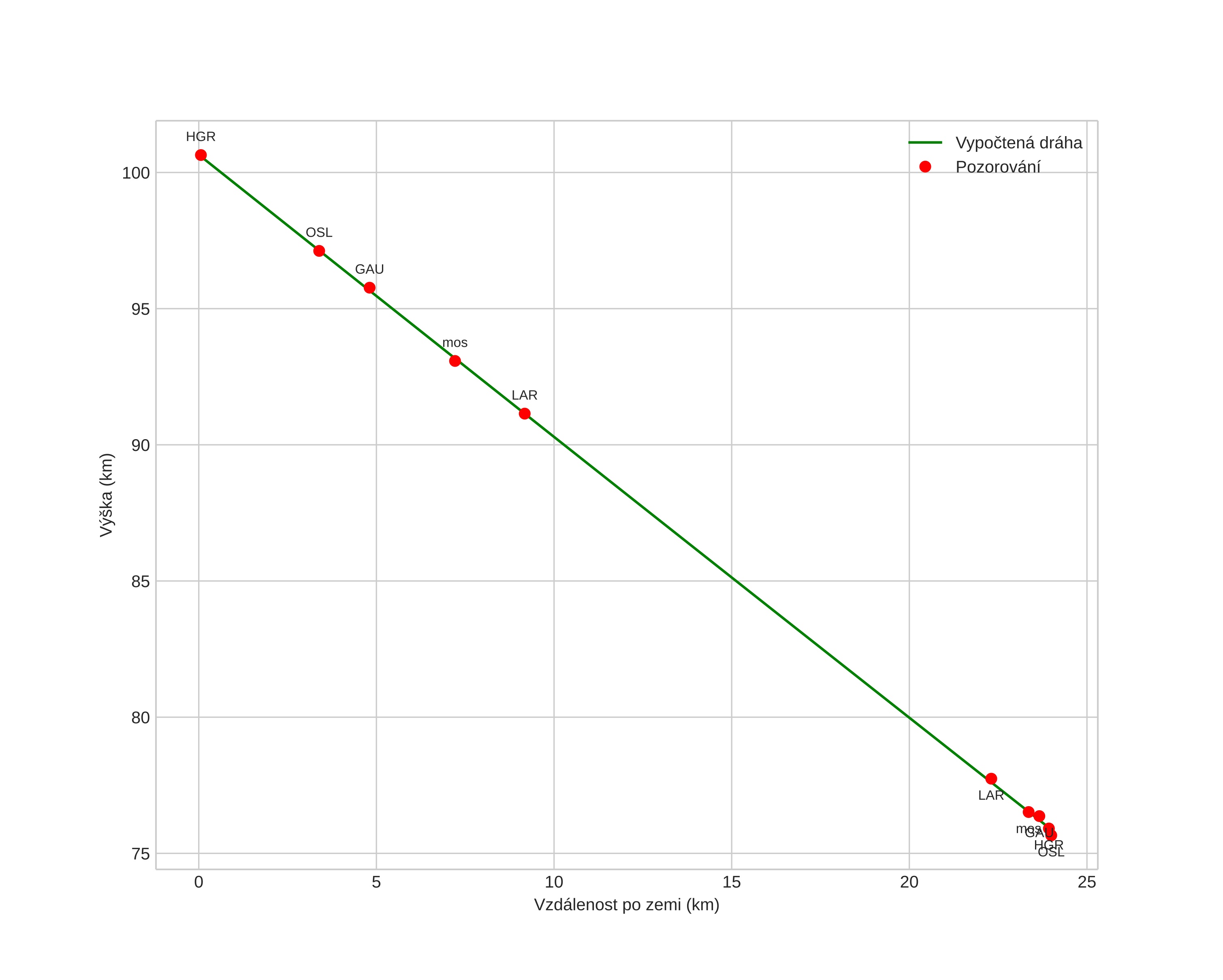
height profile
Atmosférická dráha meteoru:
Počáteční výška: 100,5 km
Konečná výška: 75,5 km
Počáteční poloha: 60,723N 10,028E
Konečná poloha: 60,712N 10,472E
Směr: 92,8°
Sklon: 46,0°
VstupnĂ­ rychlost: 19,6 km/s
Rektascenze radiantu: 09:49 (147,4°)
Deklinace radiantu: 36,3°
MeteorickĂ˝ roj: sporadickĂ˝
Elementy dráhy meteoroidu:
Vzdálenost v periheliu: 0,792 AU
Excentricita: 0,628
Sklon dráhy: 10,2°
Délka vzestupného uzlu: 330,4°
Argument perihelia: 241,1°
Střední anomálie: 347,3°
Epocha: 2025 FEB 19 03:48:57
orbit plot

NeinteraktivnĂ­ graf | InteraktivnĂ­ graf

position vs time
speed and acceleration