🇳🇴 🇬🇧 🇩🇪 🇨🇿 🇫🇮

Meteor, poloha: Eidsvoll 2025-02-19 04:21:22 UTC

Soubor KML  |  InteraktivnĂ­ mapa

Mapa zobrazuje dráhy meteoru. Světlejší čáry ukazují směry od pozorovacích stanic při objevení se meteoru a tmavší čáry, kde byl naposledy viděn. Modrá šipka značí viditelnou dráhu meteoru.

static map
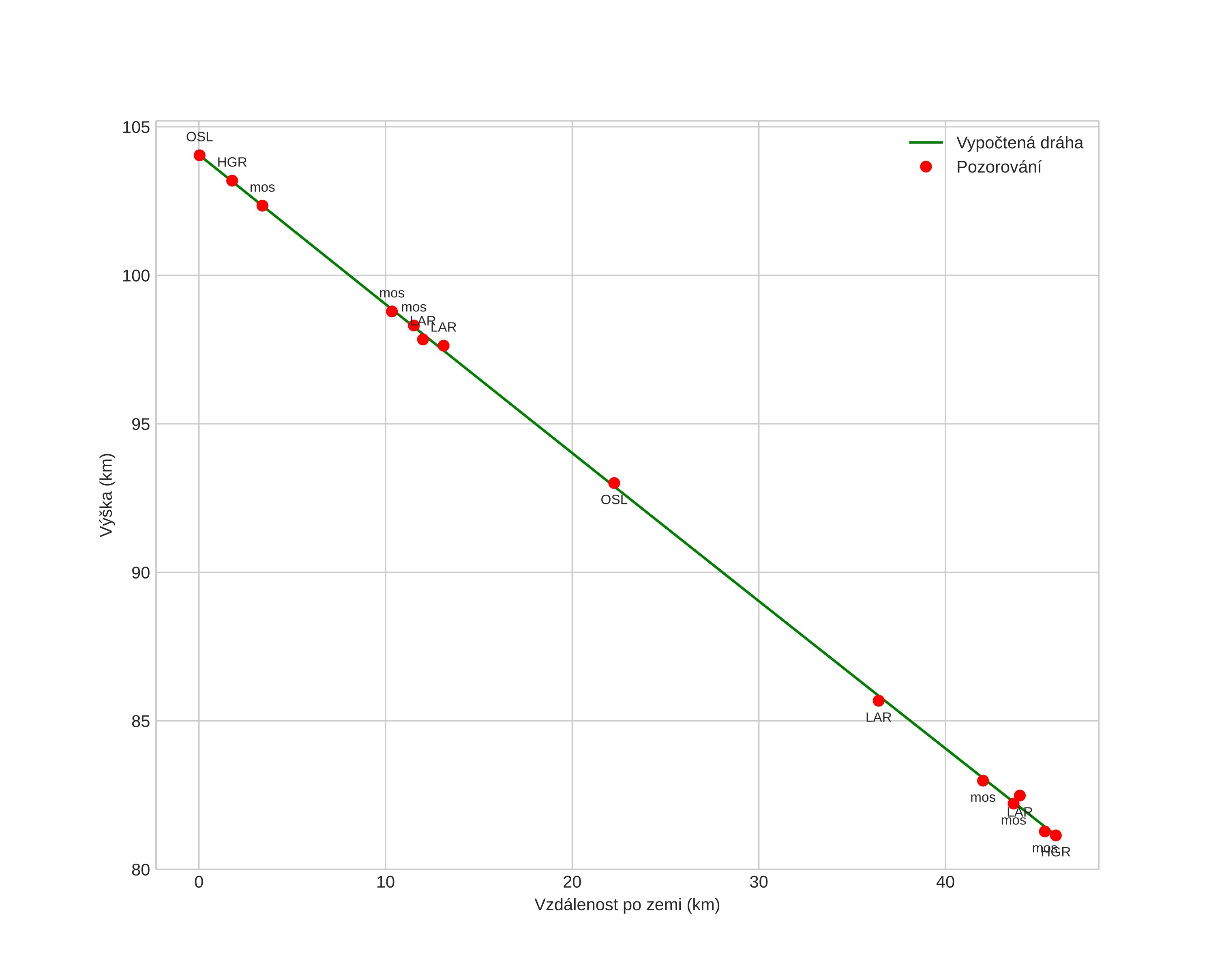
height profile
Atmosférická dráha meteoru:
Počáteční výška: 105,1 km
Konečná výška: 80,9 km
Počáteční poloha: 60,325N 12,131E
Konečná poloha: 60,288N 11,258E
Směr: 265,5°
Sklon: 26,6°
VstupnĂ­ rychlost: 35,2 km/s
Rektascenze radiantu: 20:28 (307,2°)
Deklinace radiantu: 23,6°
MeteorickĂ˝ roj: sporadickĂ˝
Elementy dráhy meteoroidu:
Vzdálenost v periheliu: 0,615 AU
Excentricita: 0,927
Sklon dráhy: 41,8°
Délka vzestupného uzlu: 330,4°
Argument perihelia: 102,3°
Střední anomálie: 1,6°
Epocha: 2025 FEB 19 04:21:22
orbit plot

NeinteraktivnĂ­ graf | InteraktivnĂ­ graf

position vs time
speed and acceleration