🇳🇴 🇬🇧 🇩🇪 🇨🇿 🇫🇮

Meteor, poloha: Noresund 2025-02-19 05:23:09 UTC

Soubor KML  |  InteraktivnĂ­ mapa

Mapa zobrazuje dráhy meteoru. Světlejší čáry ukazují směry od pozorovacích stanic při objevení se meteoru a tmavší čáry, kde byl naposledy viděn. Modrá šipka značí viditelnou dráhu meteoru.

static map
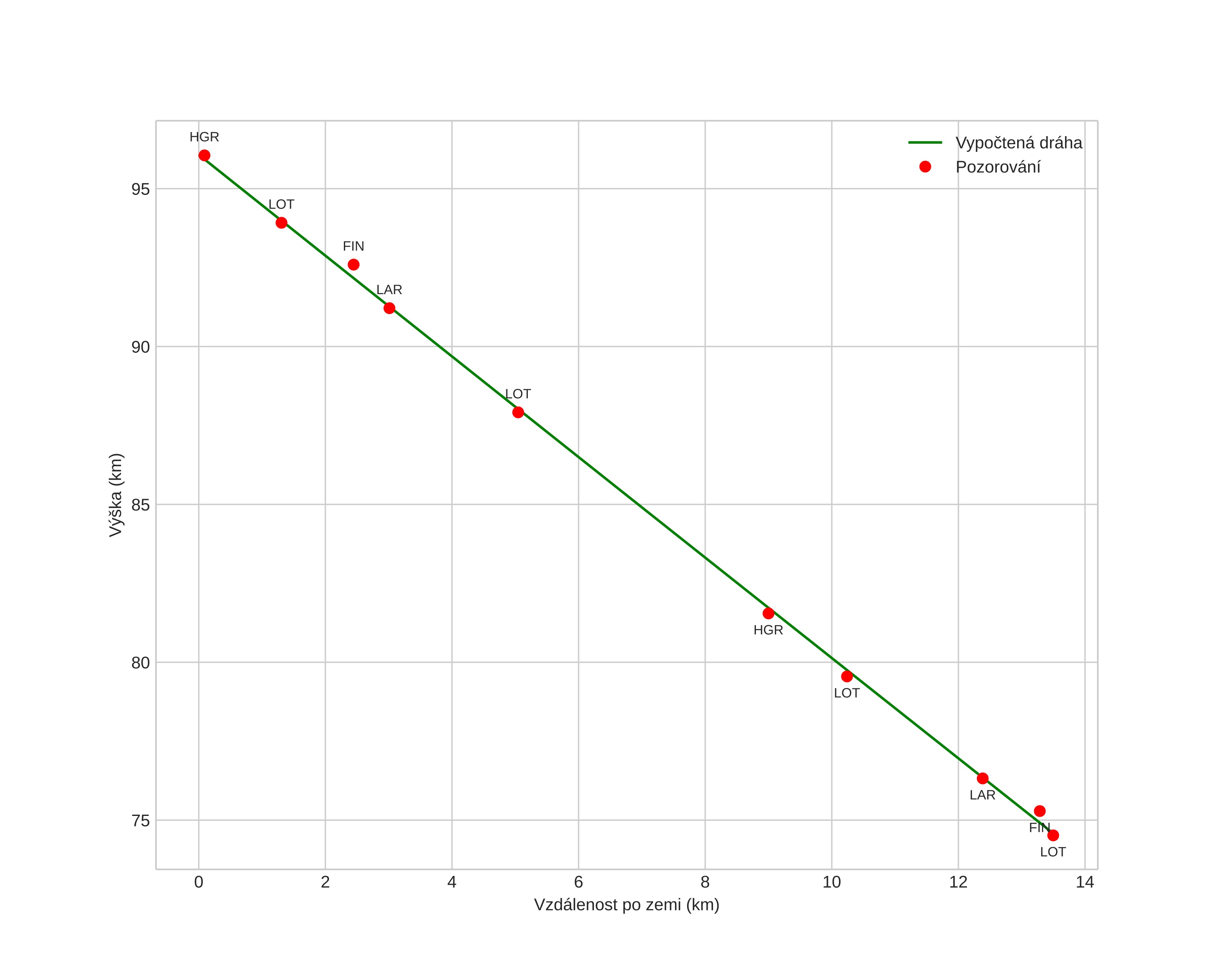
height profile
Atmosférická dráha meteoru:
Počáteční výška: 96,6 km
Konečná výška: 74,6 km
Počáteční poloha: 60,584N 9,962E
Konečná poloha: 60,471N 9,834E
Směr: 209,2°
Sklon: 56,9°
VstupnĂ­ rychlost: 17,2 km/s
Rektascenze radiantu: 22:57 (344,5°)
Deklinace radiantu: 72,8°
MeteorickĂ˝ roj: sporadickĂ˝
Elementy dráhy meteoroidu:
Vzdálenost v periheliu: 0,986 AU
Excentricita: 0,560
Sklon dráhy: 18,5°
Délka vzestupného uzlu: 330,5°
Argument perihelia: 173,0°
Střední anomálie: 1,6°
Epocha: 2025 FEB 19 05:23:09
orbit plot

NeinteraktivnĂ­ graf | InteraktivnĂ­ graf

position vs time
speed and acceleration

Finnskogen (FIN) cam4


gnomonic
Videa
• Gnomonická
• Gnomonická se souřadnicemi
• Původní
• Původní se souřadnicemi
Obrázky
• Gnomonická
• Gnomonická se souřadnicemi
• Gnomonická s popisky
• Původní
• Původní se souřadnicemi
Textové soubory
• Detekce
• Pozorování
• Souřadnice
• Protokol
Jasnost