🇳🇴 🇬🇧 🇩🇪 🇨🇿 🇫🇮

Meteor, poloha: Arvika 2025-02-19 21:25:52 UTC

Soubor KML  |  InteraktivnĂ­ mapa

Mapa zobrazuje dráhy meteoru. Světlejší čáry ukazují směry od pozorovacích stanic při objevení se meteoru a tmavší čáry, kde byl naposledy viděn. Modrá šipka značí viditelnou dráhu meteoru.

static map
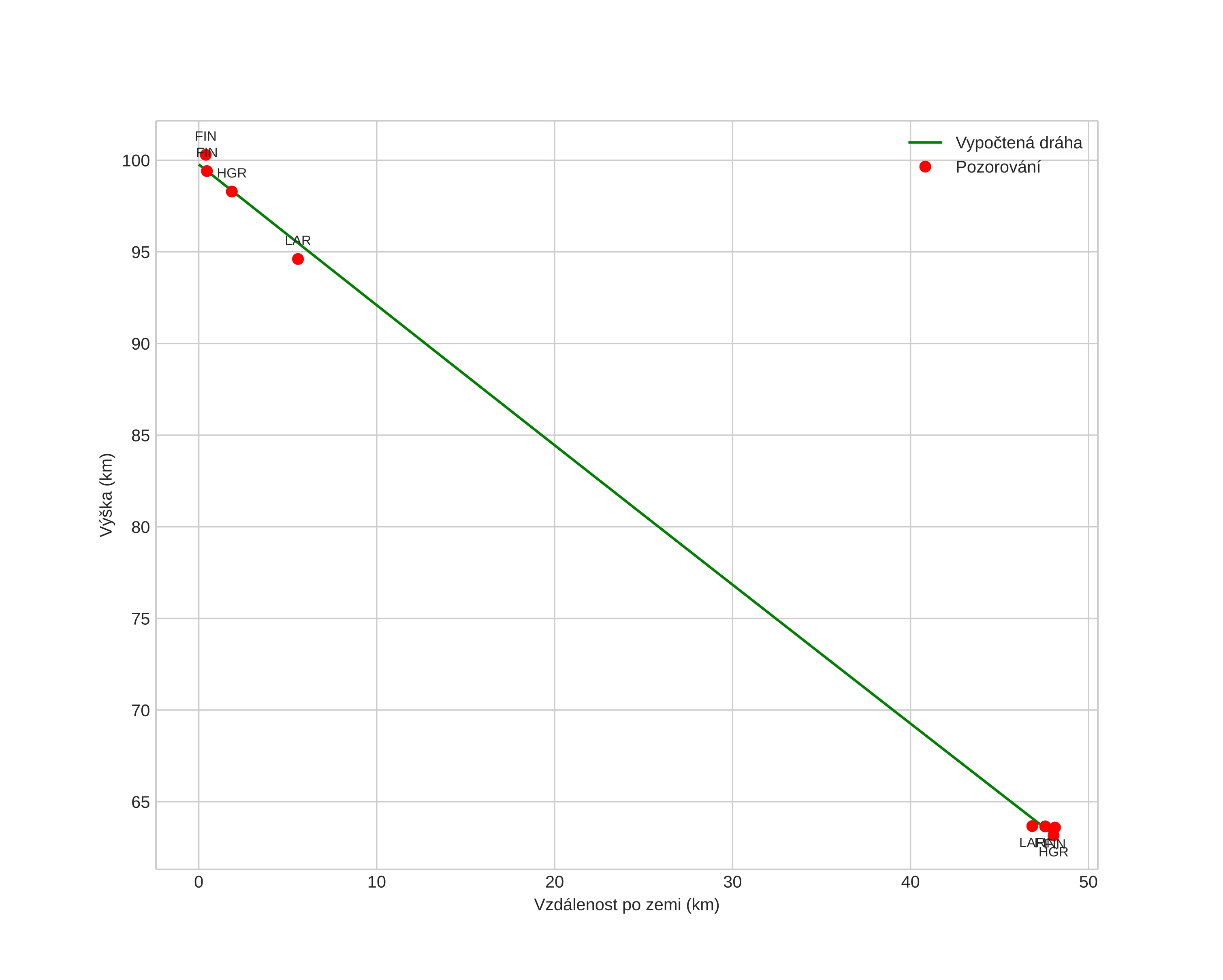
height profile
Atmosférická dráha meteoru:
Počáteční výška: 100,1 km
Konečná výška: 63,1 km
Počáteční poloha: 59,282N 13,234E
Konečná poloha: 59,489N 12,479E
Směr: 298,6°
Sklon: 37,3°
VstupnĂ­ rychlost: 34,5 km/s
Rektascenze radiantu: 11:29 (172,4°)
Deklinace radiantu: 17,9°
MeteorickĂ˝ roj: sporadickĂ˝
Elementy dráhy meteoroidu:
Vzdálenost v periheliu: 0,319 AU
Excentricita: 0,878
Sklon dráhy: 18,8°
Délka vzestupného uzlu: 331,1°
Argument perihelia: 296,6°
Střední anomálie: 350,6°
Epocha: 2025 FEB 19 21:25:52
orbit plot

NeinteraktivnĂ­ graf | InteraktivnĂ­ graf

position vs time
speed and acceleration