🇳🇴 🇬🇧 🇩🇪 🇨🇿 🇫🇮

Meteor, poloha: Olderdalen 2025-02-22 00:44:34 UTC

Soubor KML  |  InteraktivnĂ­ mapa

Mapa zobrazuje dráhy meteoru. Světlejší čáry ukazují směry od pozorovacích stanic při objevení se meteoru a tmavší čáry, kde byl naposledy viděn. Modrá šipka značí viditelnou dráhu meteoru.

static map
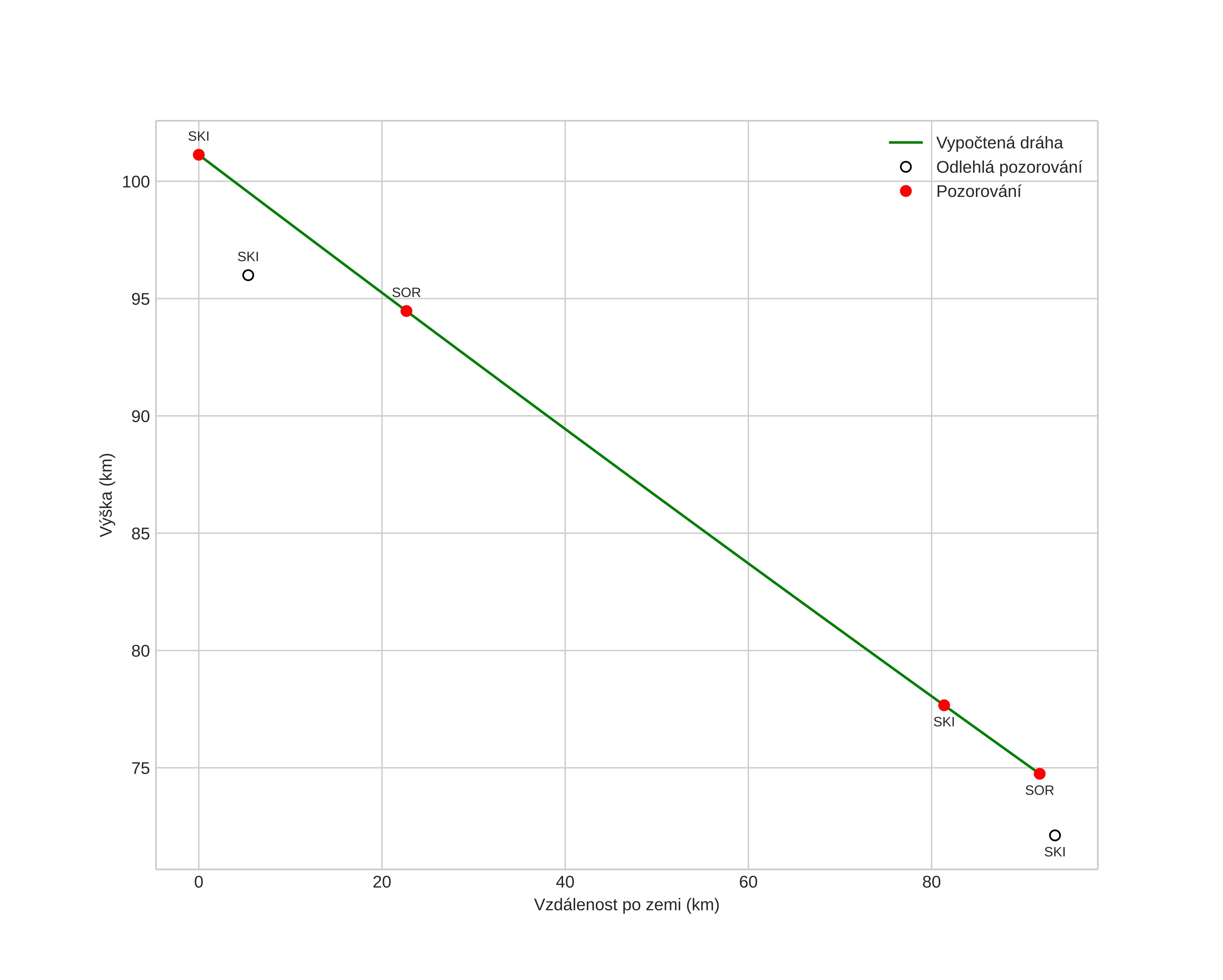
height profile
Atmosférická dráha meteoru:
Počáteční výška: 100,4 km
Konečná výška: 74,6 km
Počáteční poloha: 67,850N 20,245E
Konečná poloha: 68,617N 21,038E
Směr: 20,6°
Sklon: 15,8°
VstupnĂ­ rychlost: 36,1 km/s
Rektascenze radiantu: 10:51 (162,8°)
Deklinace radiantu: -7,0°
MeteorickĂ˝ roj: sporadickĂ˝
Elementy dráhy meteoroidu:
Vzdálenost v periheliu: 0,319 AU
Excentricita: 0,927
Sklon dráhy: 19,5°
Délka vzestupného uzlu: 153,3°
Argument perihelia: 114,1°
Střední anomálie: 355,8°
Epocha: 2025 FEB 22 00:44:34
orbit plot

NeinteraktivnĂ­ graf | InteraktivnĂ­ graf

position vs time
speed and acceleration