🇳🇴 🇬🇧 🇩🇪 🇨🇿 🇫🇮

Meteor, poloha: Harstad 2025-02-28 20:01:51 UTC

Soubor KML  |  InteraktivnĂ­ mapa

Mapa zobrazuje dráhy meteoru. Světlejší čáry ukazují směry od pozorovacích stanic při objevení se meteoru a tmavší čáry, kde byl naposledy viděn. Modrá šipka značí viditelnou dráhu meteoru.

static map
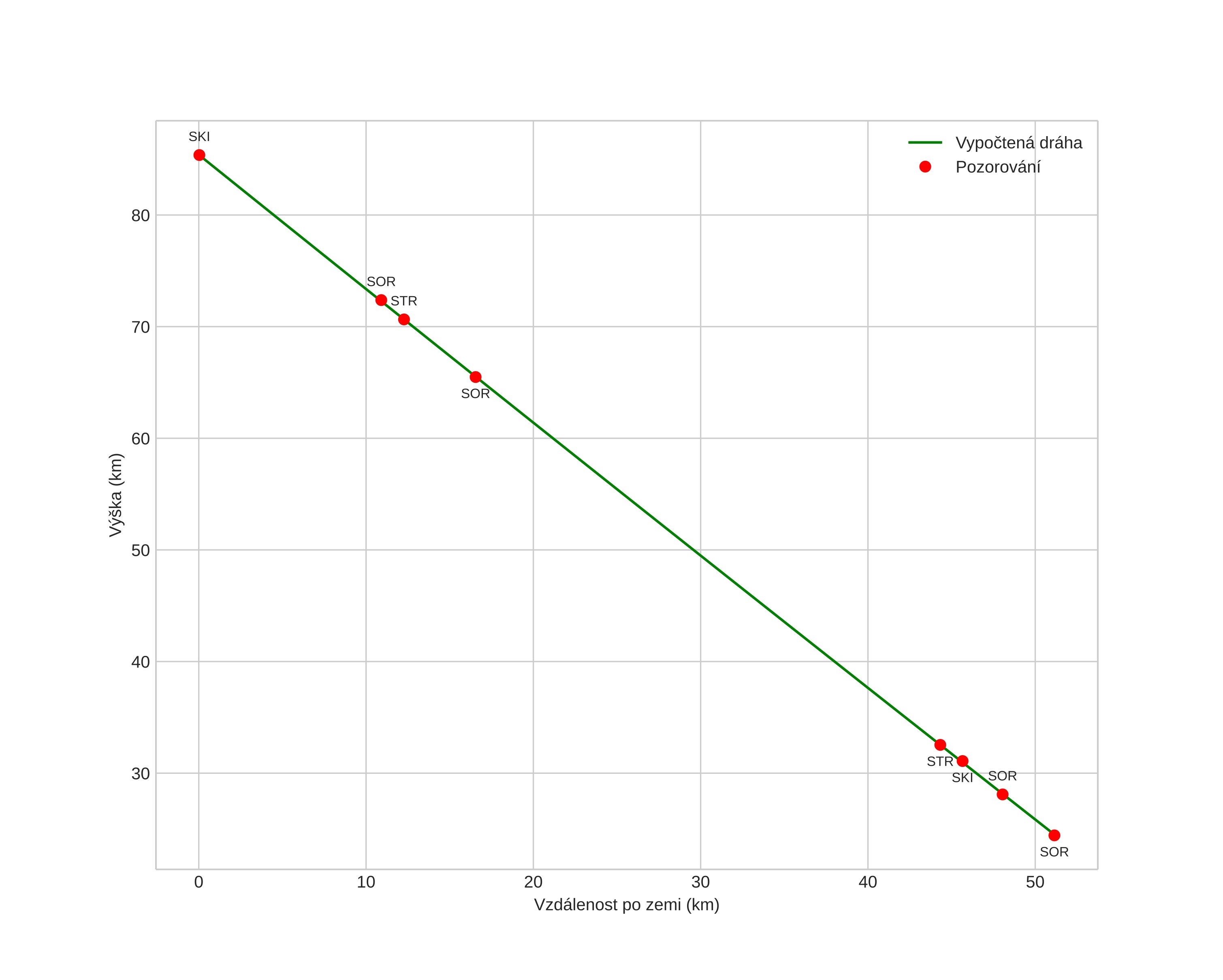
height profile
Atmosférická dráha meteoru:
Počáteční výška: 85,4 km
Konečná výška: 24,5 km
Počáteční poloha: 68,493N 17,670E
Konečná poloha: 68,829N 16,805E
Směr: 317,2°
Sklon: 50,0°
VstupnĂ­ rychlost: 18,5 km/s
Rektascenze radiantu: 09:55 (148,8°)
Deklinace radiantu: 28,4°
MeteorickĂ˝ roj: sporadickĂ˝
Elementy dráhy meteoroidu:
Vzdálenost v periheliu: 0,831 AU
Excentricita: 0,625
Sklon dráhy: 6,2°
Délka vzestupného uzlu: 340,1°
Argument perihelia: 234,6°
Střední anomálie: 348,9°
Epocha: 2025 FEB 28 20:01:51
orbit plot

NeinteraktivnĂ­ graf | InteraktivnĂ­ graf

position vs time
speed and acceleration

Skibotn (SKI) cam5


gnomonic
Videa
• Gnomonická
• Gnomonická se souřadnicemi
• Původní
• Původní se souřadnicemi
Obrázky
• Gnomonická
• Gnomonická se souřadnicemi
• Gnomonická s popisky
• Původní
• Původní se souřadnicemi
Textové soubory
• Detekce
• Pozorování
• Souřadnice
• Protokol
Jasnost