🇳🇴 🇬🇧 🇩🇪 🇨🇿 🇫🇮

Meteor, poloha: Otta 2025-03-01 20:01:44 UTC

Soubor KML  |  InteraktivnĂ­ mapa

Mapa zobrazuje dráhy meteoru. Světlejší čáry ukazují směry od pozorovacích stanic při objevení se meteoru a tmavší čáry, kde byl naposledy viděn. Modrá šipka značí viditelnou dráhu meteoru.

static map
height profile
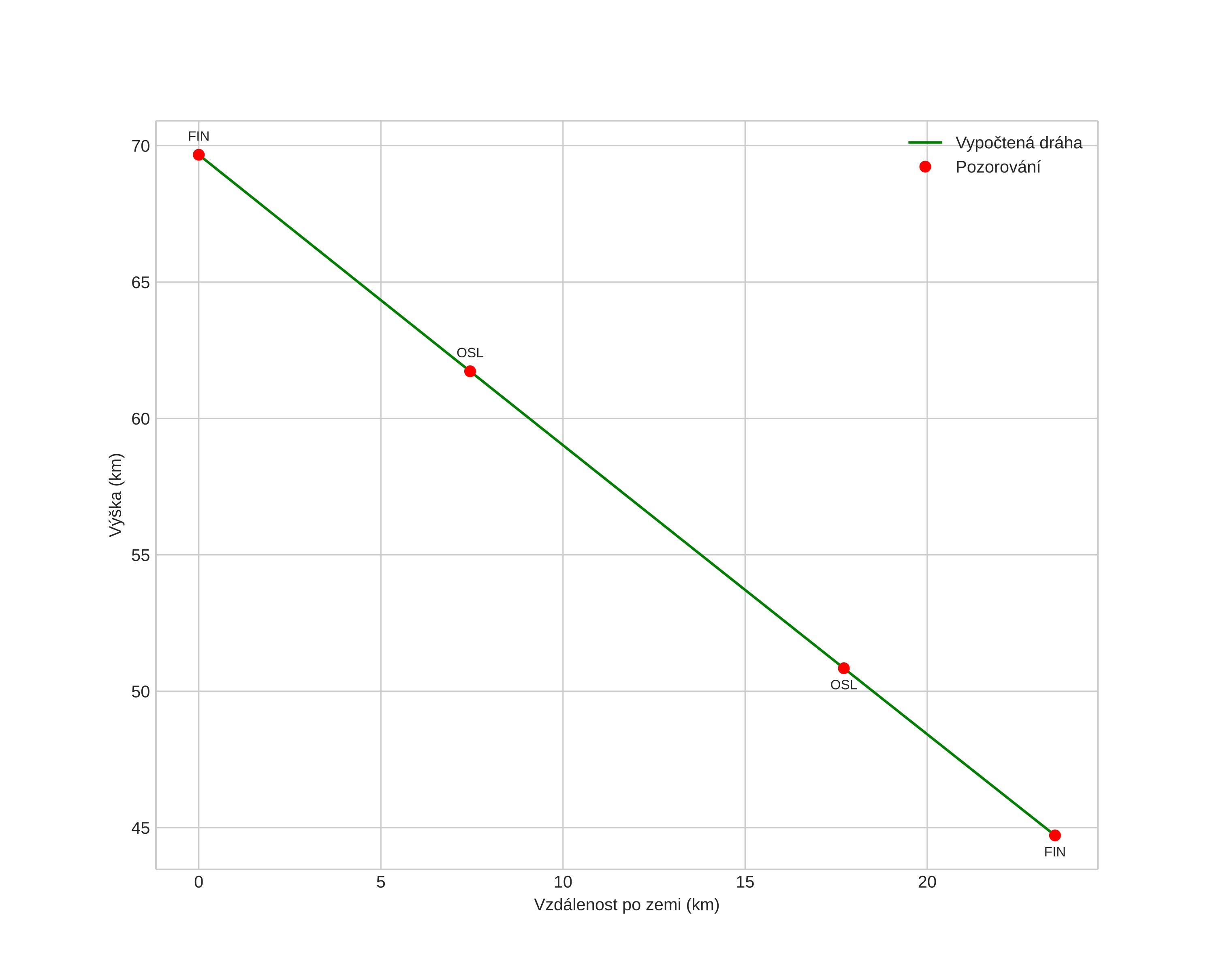
Atmosférická dráha meteoru:
Počáteční výška: 71,8 km
Konečná výška: 44,4 km
Počáteční poloha: 61,894N 9,155E
Konečná poloha: 61,834N 9,653E
Směr: 104,2°
Sklon: 45,5°
VstupnĂ­ rychlost: 14,1 km/s
Rektascenze radiantu: 01:41 (25,3°)
Deklinace radiantu: 35,7°
MeteorickĂ˝ roj: sporadickĂ˝
Elementy dráhy meteoroidu:
Vzdálenost v periheliu: 0,966 AU
Excentricita: 0,565
Sklon dráhy: 5,5°
Délka vzestupného uzlu: 341,1°
Argument perihelia: 158,5°
Střední anomálie: 5,0°
Epocha: 2025 MAR 01 20:01:44
orbit plot

NeinteraktivnĂ­ graf | InteraktivnĂ­ graf

position vs time
speed and acceleration