🇳🇴 🇬🇧 🇩🇪 🇨🇿 🇫🇮

Meteor, poloha: Langesund 2025-03-02 22:28:26 UTC

Soubor KML  |  InteraktivnĂ­ mapa

Mapa zobrazuje dráhy meteoru. Světlejší čáry ukazují směry od pozorovacích stanic při objevení se meteoru a tmavší čáry, kde byl naposledy viděn. Modrá šipka značí viditelnou dráhu meteoru.

static map
height profile
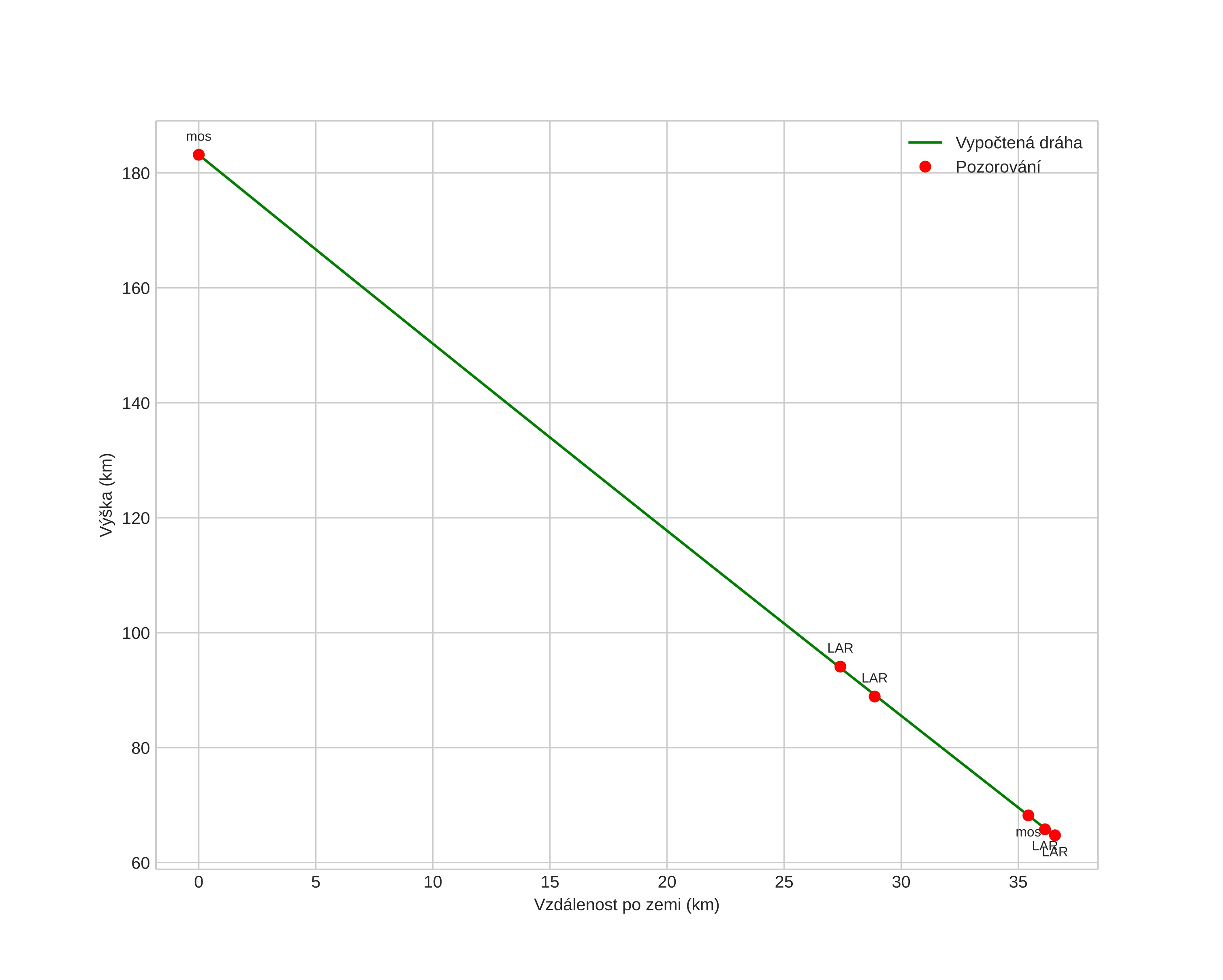
Atmosférická dráha meteoru:
Počáteční výška: 89,2 km
Konečná výška: 63,9 km
Počáteční poloha: 58,981N 9,642E
Konečná poloha: 58,893N 9,660E
Směr: 174,0°
Sklon: 68,9°
VstupnĂ­ rychlost: 15,9 km/s
Rektascenze radiantu: 07:54 (118,6°)
Deklinace radiantu: 82,5°
MeteorickĂ˝ roj: sporadickĂ˝
Elementy dráhy meteoroidu:
Vzdálenost v periheliu: 0,987 AU
Excentricita: 0,504
Sklon dráhy: 15,6°
Délka vzestupného uzlu: 342,2°
Argument perihelia: 189,3°
Střední anomálie: 357,3°
Epocha: 2025 MAR 02 22:28:26
orbit plot

NeinteraktivnĂ­ graf | InteraktivnĂ­ graf

position vs time
speed and acceleration