🇳🇴 🇬🇧 🇩🇪 🇨🇿 🇫🇮

Meteor, poloha: HjelmelandsvĂĄgen 2025-03-07 02:40:20 UTC

Soubor KML  |  InteraktivnĂ­ mapa

Mapa zobrazuje dráhy meteoru. Světlejší čáry ukazují směry od pozorovacích stanic při objevení se meteoru a tmavší čáry, kde byl naposledy viděn. Modrá šipka značí viditelnou dráhu meteoru.

static map
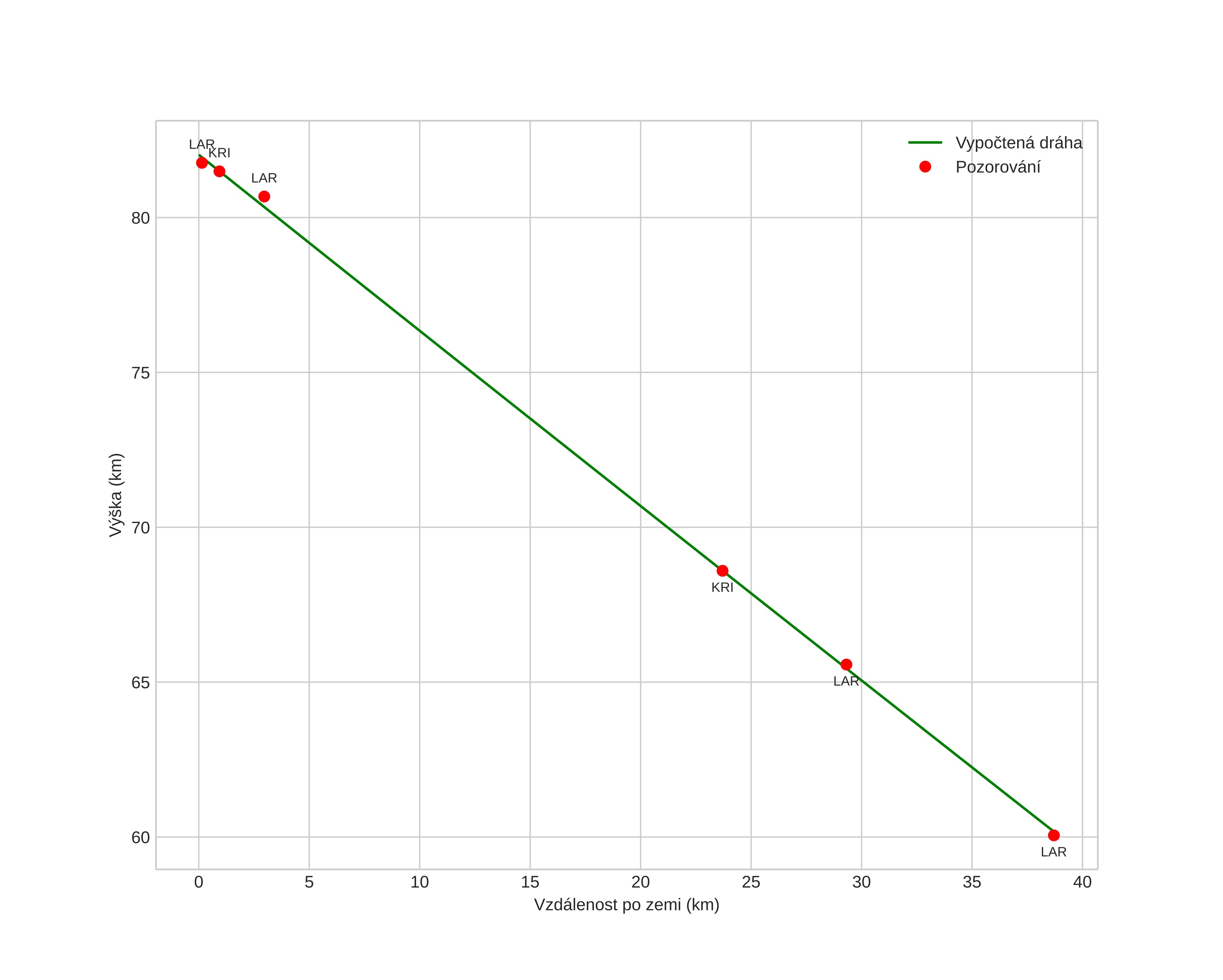
height profile
Atmosférická dráha meteoru:
Počáteční výška: 84,3 km
Konečná výška: 57,4 km
Počáteční poloha: 58,771N 5,794E
Konečná poloha: 59,123N 6,274E
Směr: 35,0°
Sklon: 29,4°
VstupnĂ­ rychlost: 29,2 km/s
Rektascenze radiantu: 11:57 (179,4°)
Deklinace radiantu: 0,4°
MeteorickĂ˝ roj: sporadickĂ˝
Elementy dráhy meteoroidu:
Vzdálenost v periheliu: 0,358 AU
Excentricita: 0,784
Sklon dráhy: 0,2°
Délka vzestupného uzlu: 346,2°
Argument perihelia: 297,3°
Střední anomálie: 339,4°
Epocha: 2025 MAR 07 02:40:20
orbit plot

NeinteraktivnĂ­ graf | InteraktivnĂ­ graf

position vs time
speed and acceleration

Kristiansand (KRI) cam5


gnomonic
Videa
• Gnomonická
• Gnomonická se souřadnicemi
• Původní
• Původní se souřadnicemi
Obrázky
• Gnomonická
• Gnomonická se souřadnicemi
• Gnomonická s popisky
• Původní
• Původní se souřadnicemi
Textové soubory
• Detekce
• Pozorování
• Souřadnice
• Protokol
Jasnost