🇳🇴 🇬🇧 🇩🇪 🇨🇿 🇫🇮

Meteor, poloha: Aas 2025-03-08 00:34:10 UTC

Soubor KML  |  InteraktivnĂ­ mapa

Mapa zobrazuje dráhy meteoru. Světlejší čáry ukazují směry od pozorovacích stanic při objevení se meteoru a tmavší čáry, kde byl naposledy viděn. Modrá šipka značí viditelnou dráhu meteoru.

static map
height profile
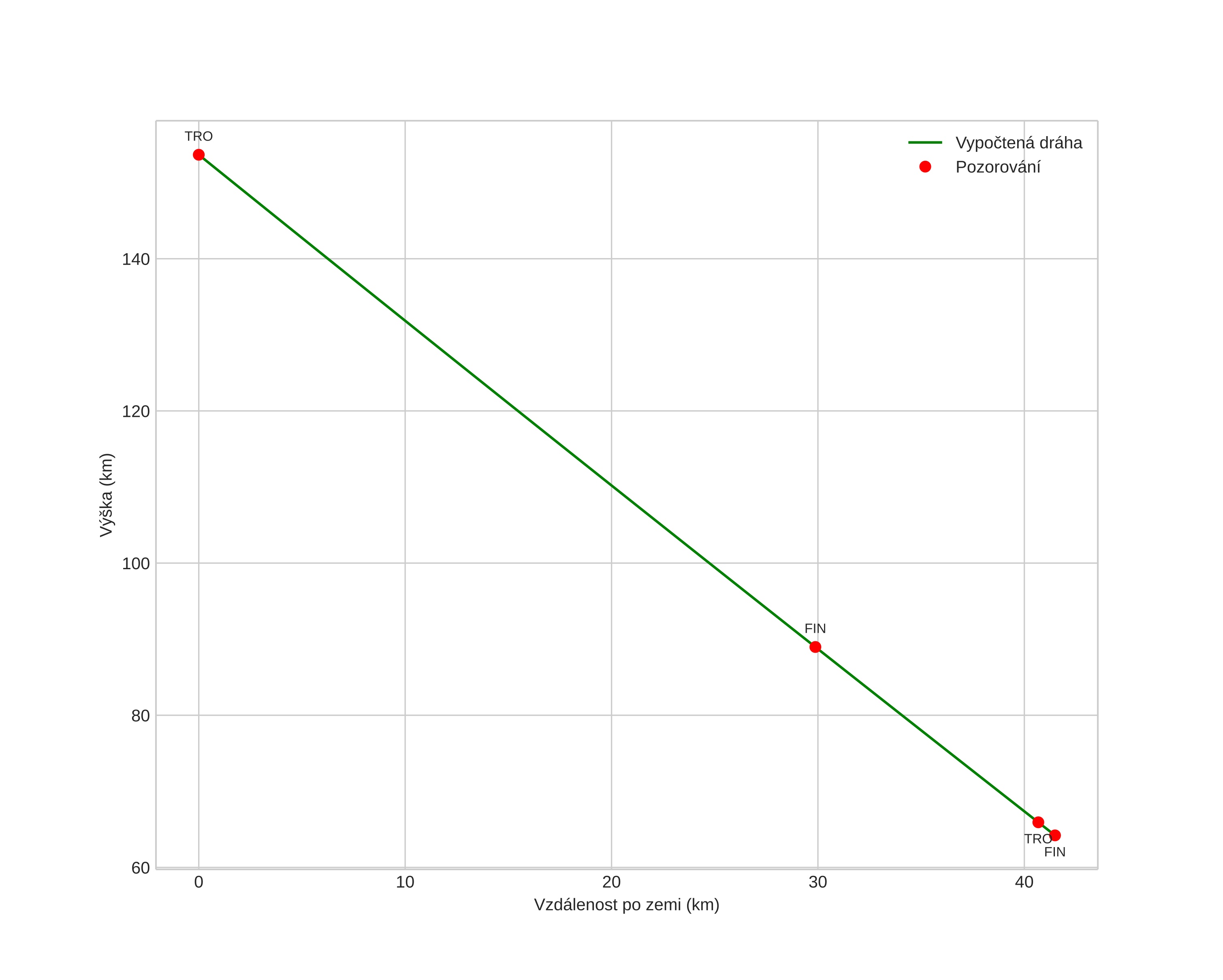
Atmosférická dráha meteoru:
Počáteční výška: 91,7 km
Konečná výška: 63,7 km
Počáteční poloha: 63,016N 11,712E
Konečná poloha: 62,907N 11,821E
Směr: 155,5°
Sklon: 64,5°
VstupnĂ­ rychlost: 16,6 km/s
Rektascenze radiantu: 06:21 (95,4°)
Deklinace radiantu: 77,5°
MeteorickĂ˝ roj: sporadickĂ˝
Elementy dráhy meteoroidu:
Vzdálenost v periheliu: 0,991 AU
Excentricita: 0,655
Sklon dráhy: 15,2°
Délka vzestupného uzlu: 347,3°
Argument perihelia: 185,3°
Střední anomálie: 359,2°
Epocha: 2025 MAR 08 00:34:10
orbit plot

NeinteraktivnĂ­ graf | InteraktivnĂ­ graf

position vs time
speed and acceleration