🇳🇴 🇬🇧 🇩🇪 🇨🇿 🇫🇮

Meteor, poloha: Siljansnäs 2025-03-08 00:50:28 UTC

Soubor KML  |  InteraktivnĂ­ mapa

Mapa zobrazuje dráhy meteoru. Světlejší čáry ukazují směry od pozorovacích stanic při objevení se meteoru a tmavší čáry, kde byl naposledy viděn. Modrá šipka značí viditelnou dráhu meteoru.

static map
height profile
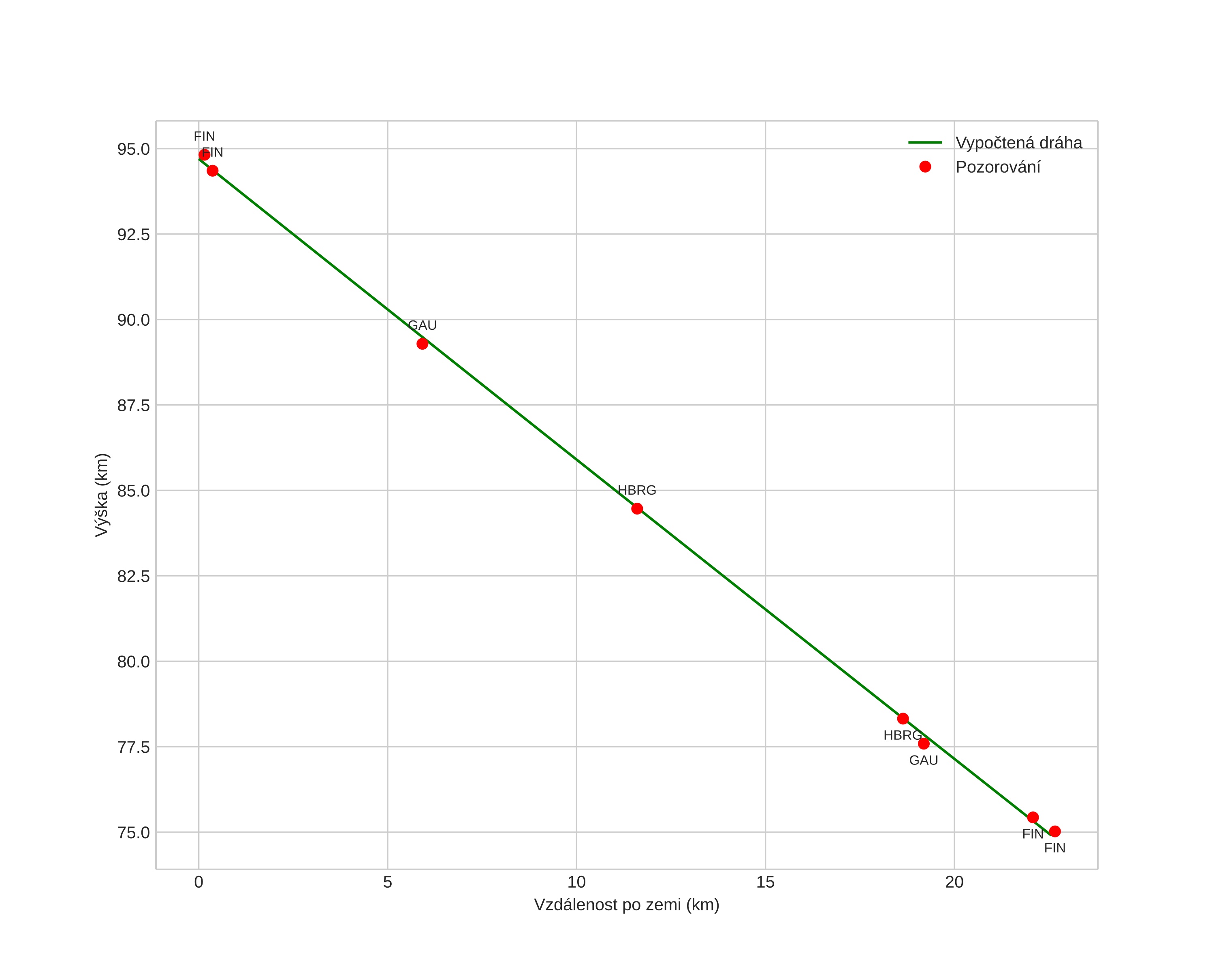
Atmosférická dráha meteoru:
Počáteční výška: 96,3 km
Konečná výška: 74,4 km
Počáteční poloha: 60,467N 14,558E
Konečná poloha: 60,639N 14,854E
Směr: 40,0°
Sklon: 41,1°
VstupnĂ­ rychlost: 22,3 km/s
Rektascenze radiantu: 10:42 (160,6°)
Deklinace radiantu: 13,3°
MeteorickĂ˝ roj: sporadickĂ˝
Elementy dráhy meteoroidu:
Vzdálenost v periheliu: 0,714 AU
Excentricita: 0,746
Sklon dráhy: 2,7°
Délka vzestupného uzlu: 347,3°
Argument perihelia: 250,0°
Střední anomálie: 351,4°
Epocha: 2025 MAR 08 00:50:28
orbit plot

NeinteraktivnĂ­ graf | InteraktivnĂ­ graf

position vs time
speed and acceleration