🇳🇴 🇬🇧 🇩🇪 🇨🇿 🇫🇮

Meteor über Tromsø 2025-03-11 21:14:58 UTC

KML-Datei  |  Interaktive Karte

Die Karte zeigt die Peilungen für den Meteor. Die helleren Linien zeigen die Richtungen von den Beobachtungsorten beim Erscheinen des Meteors, und die dunkleren Linien, wo er zuletzt gesehen wurde. Der blaue Pfeil zeigt die sichtbare Bahn des Meteors.

static map
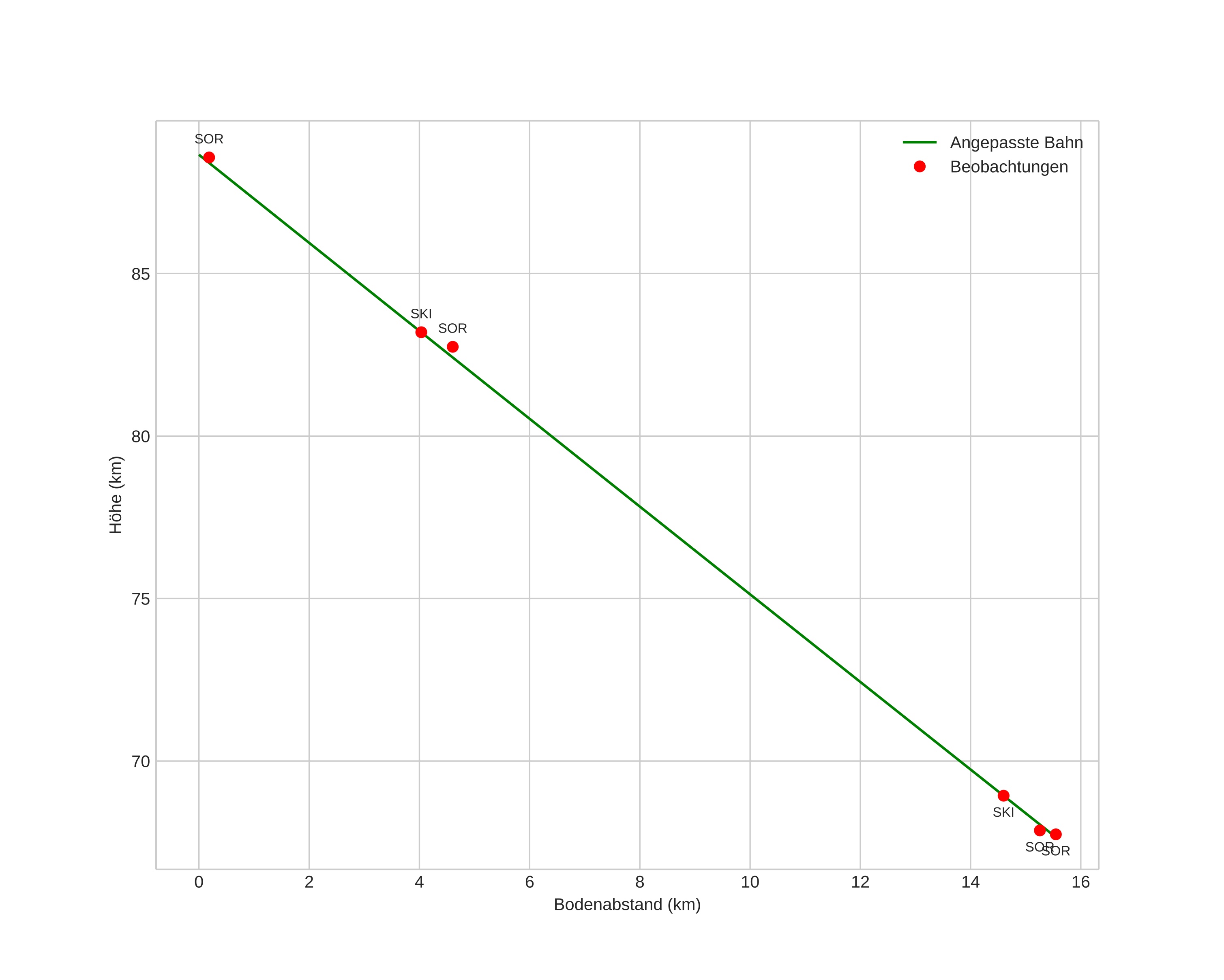
height profile
Atmosphärische Bahn des Meteors:
Anfangshöhe: 88,1 km
Endhöhe: 67,6 km
Startposition: 69,452N 18,638E
Endposition: 69,344N 18,885E
Richtung: 141,0°
Neigungswinkel: 53,1°
Eintrittsgeschwindigkeit: 17,5 km/s
Rektaszension des Radianten: 01:57 (29,3°)
Deklination des Radianten: 61,1°
Meteorstrom: sporadisch
Bahnelemente des Meteoroiden:
Periheldistanz: 0,976 AU
Exzentrizität: 0,793
Inklination: 14,1°
Länge des aufsteigenden Knotens: 351,2°
Argument des Perihels: 163,9°
Mittlere Anomalie: 1,1°
Epoche: 2025 MAR 11 21:14:58
orbit plot

Nicht-interaktives Diagramm | Interaktives Diagramm

position vs time
speed and acceleration

Sorreisa (SOR) cam4

gnomonic
Videos
• Original
Bilder
• Original
Textdateien
• Erkennung
• Beobachtung
• Koordinaten
• Fehlermeldungen
• Protokoll
Helligkeit