🇳🇴 🇬🇧 🇩🇪 🇨🇿 🇫🇮

Meteor, poloha: Tjøme 2025-03-14 20:59:40 UTC

Soubor KML  |  InteraktivnĂ­ mapa

Mapa zobrazuje dráhy meteoru. Světlejší čáry ukazují směry od pozorovacích stanic při objevení se meteoru a tmavší čáry, kde byl naposledy viděn. Modrá šipka značí viditelnou dráhu meteoru.

static map
height profile
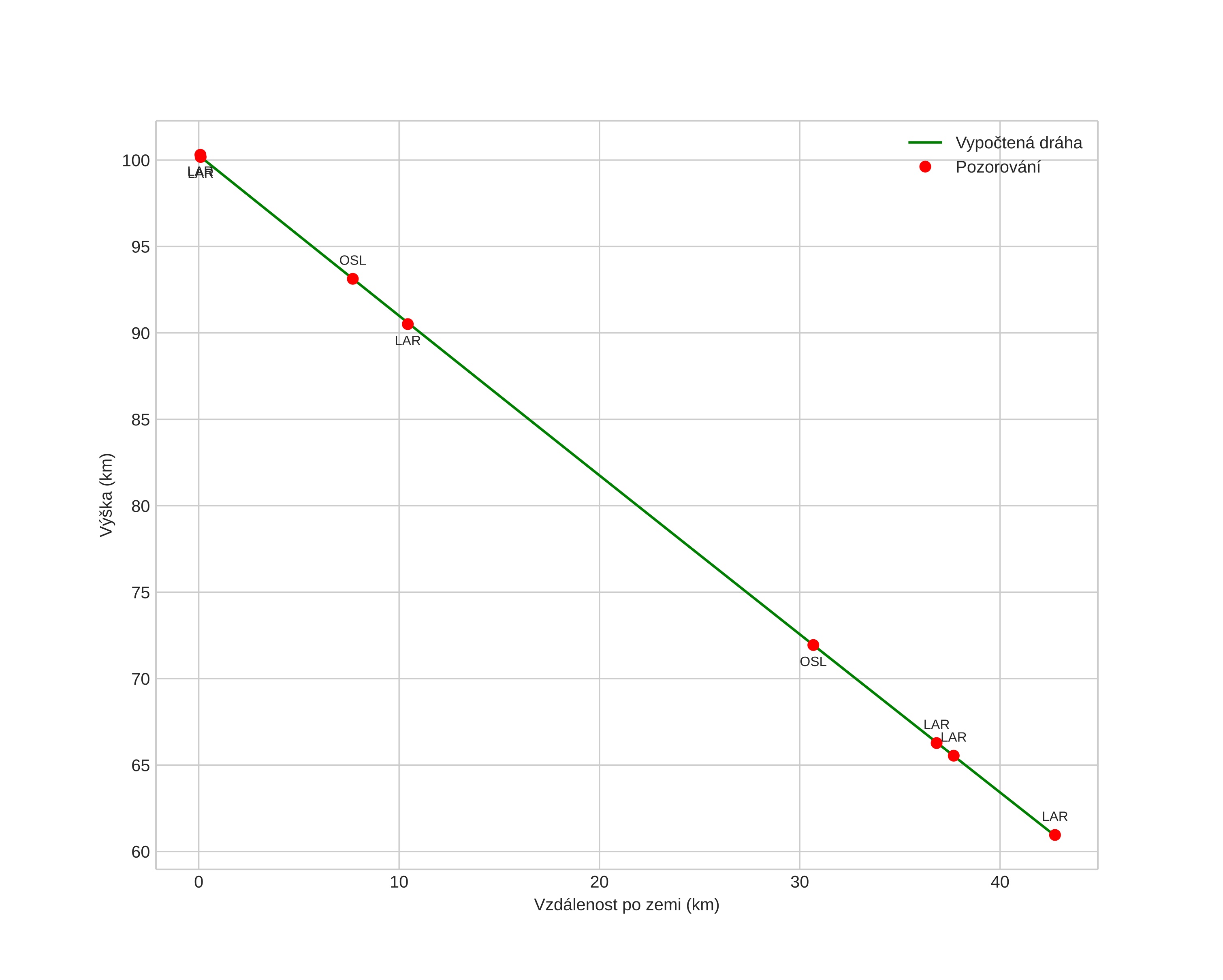
Atmosférická dráha meteoru:
Počáteční výška: 101,6 km
Konečná výška: 64,1 km
Počáteční poloha: 58,372N 10,423E
Konečná poloha: 58,742N 10,393E
Směr: 357,5°
Sklon: 42,4°
orbit plot
position vs time
speed and acceleration