🇳🇴 🇬🇧 🇩🇪 🇨🇿 🇫🇮

Meteor, poloha: Hamar 2025-03-14 22:11:46 UTC

Soubor KML  |  InteraktivnĂ­ mapa

Mapa zobrazuje dráhy meteoru. Světlejší čáry ukazují směry od pozorovacích stanic při objevení se meteoru a tmavší čáry, kde byl naposledy viděn. Modrá šipka značí viditelnou dráhu meteoru.

static map
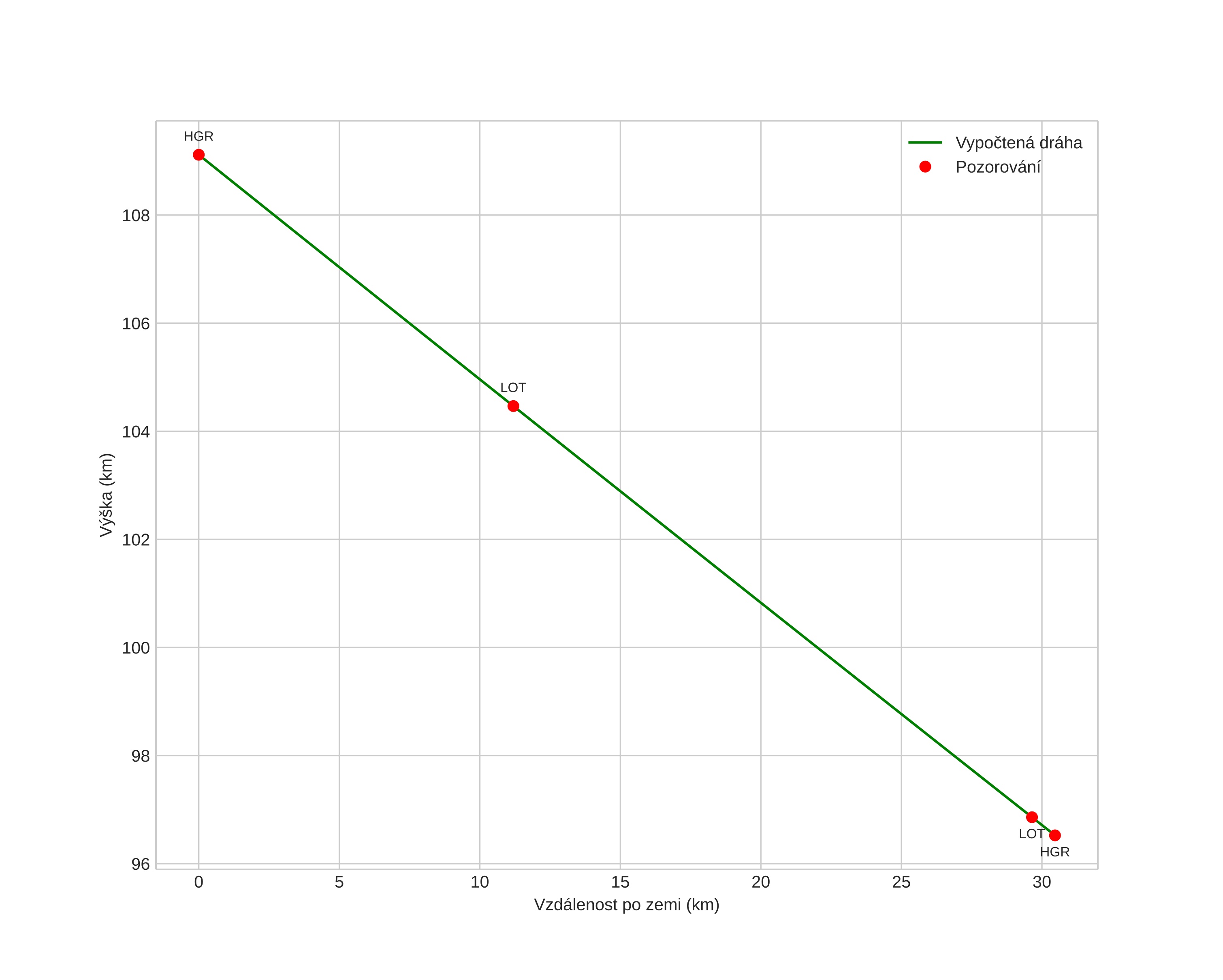
height profile
Atmosférická dráha meteoru:
Počáteční výška: 110,7 km
Konečná výška: 96,4 km
Počáteční poloha: 60,984N 11,616E
Konečná poloha: 60,830N 11,108E
Směr: 238,3°
Sklon: 23,9°
VstupnĂ­ rychlost: 49,3 km/s
Rektascenze radiantu: 17:35 (263,8°)
Deklinace radiantu: 35,2°
MeteorickĂ˝ roj: sporadickĂ˝
Elementy dráhy meteoroidu:
Vzdálenost v periheliu: 0,993 AU
Excentricita: 0,892
Sklon dráhy: 83,0°
Délka vzestupného uzlu: 354,2°
Argument perihelia: 183,8°
Střední anomálie: 359,9°
Epocha: 2025 MAR 14 22:11:46
orbit plot

NeinteraktivnĂ­ graf | InteraktivnĂ­ graf

position vs time
speed and acceleration