🇳🇴 🇬🇧 🇩🇪 🇨🇿 🇫🇮

Meteor Laxåin yllä 2025-03-15 00:58:05 UTC

KML-tiedosto  |  Interaktiivinen kartta

Kartta näyttää meteorin suuntahavainnot. Vaaleammat viivat näyttävät suunnat havaintoasemilta meteorin ilmestyessä, ja tummemmat viivat näyttävät, missä se viimeksi nähtiin. Sininen nuoli näyttää meteorin näkyvän lennon.

static map
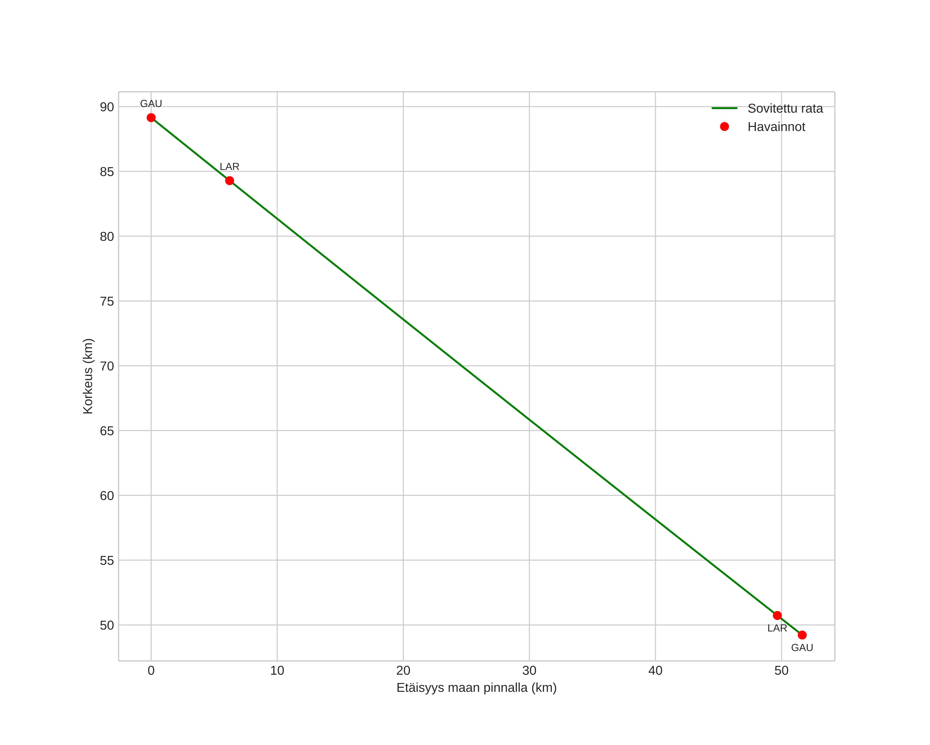
height profile
Meteorin ilmakehärata:
Alkukorkeus: 92,8 km
Loppukorkeus: 51,0 km
Alkupiste: 58,494N 14,460E
Loppupiste: 58,980N 14,585E
Suunta: 7,5°
Kallistuskulma: 37,5°
Tulonopeus: 30,0 km/s
Radiantin R,A,: 12:59 (194,9°)
Radiantin Dekl,: 4,2°
Meteoriparvi: Sporadinen
Meteoroidin rataelementit:
Perihelietäisyys: 0,305 AU
Eksentrisyys: 0,782
Inklinaatio: 12,3°
Nousevan solmun pituus: 354,3°
Perihelin argumentti: 305,5°
Keskianomalia: 333,4°
Epookki: 2025 MAR 15 00:58:05
orbit plot

Ei-interaktiivinen kuvaaja | Interaktiivinen kuvaaja

position vs time
speed and acceleration