🇳🇴 🇬🇧 🇩🇪 🇨🇿 🇫🇮

Meteor, poloha: Stryn 2025-03-16 20:52:25 UTC

Soubor KML  |  InteraktivnĂ­ mapa

Mapa zobrazuje dráhy meteoru. Světlejší čáry ukazují směry od pozorovacích stanic při objevení se meteoru a tmavší čáry, kde byl naposledy viděn. Modrá šipka značí viditelnou dráhu meteoru.

static map
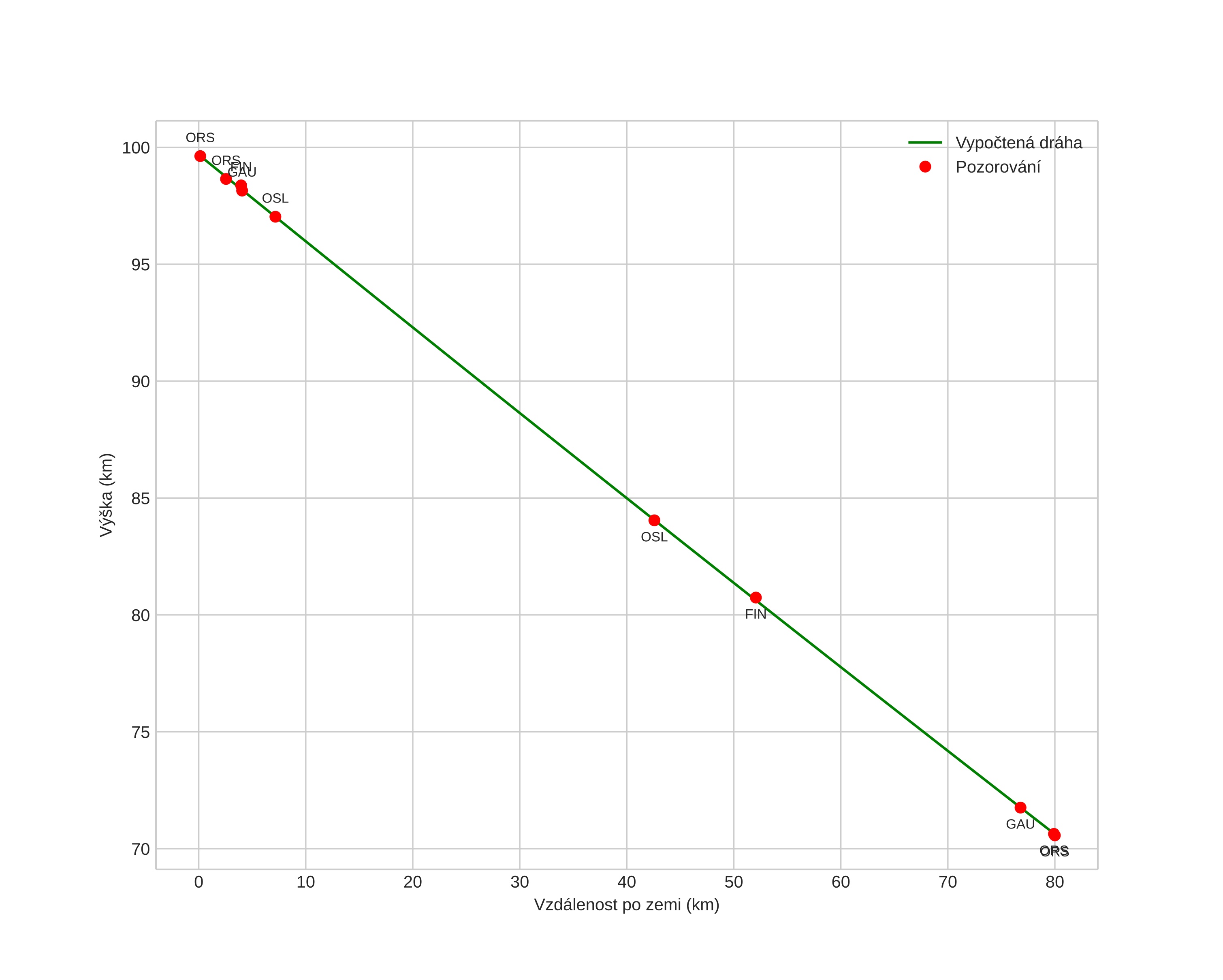
height profile
Atmosférická dráha meteoru:
Počáteční výška: 99,2 km
Konečná výška: 71,2 km
Počáteční poloha: 61,410N 8,156E
Konečná poloha: 61,777N 6,902E
Směr: 302,2°
Sklon: 19,8°
VstupnĂ­ rychlost: 32,6 km/s
Rektascenze radiantu: 12:36 (189,2°)
Deklinace radiantu: 1,1°
MeteorickĂ˝ roj: sporadickĂ˝
Elementy dráhy meteoroidu:
Vzdálenost v periheliu: 0,340 AU
Excentricita: 0,861
Sklon dráhy: 6,0°
Délka vzestupného uzlu: 356,2°
Argument perihelia: 295,0°
Střední anomálie: 349,3°
Epocha: 2025 MAR 16 20:52:25
orbit plot

NeinteraktivnĂ­ graf | InteraktivnĂ­ graf

position vs time
speed and acceleration