🇳🇴 🇬🇧 🇩🇪 🇨🇿 🇫🇮

Meteor Flisan yllä 2025-03-16 22:04:09 UTC

KML-tiedosto  |  Interaktiivinen kartta

Kartta näyttää meteorin suuntahavainnot. Vaaleammat viivat näyttävät suunnat havaintoasemilta meteorin ilmestyessä, ja tummemmat viivat näyttävät, missä se viimeksi nähtiin. Sininen nuoli näyttää meteorin näkyvän lennon.

static map
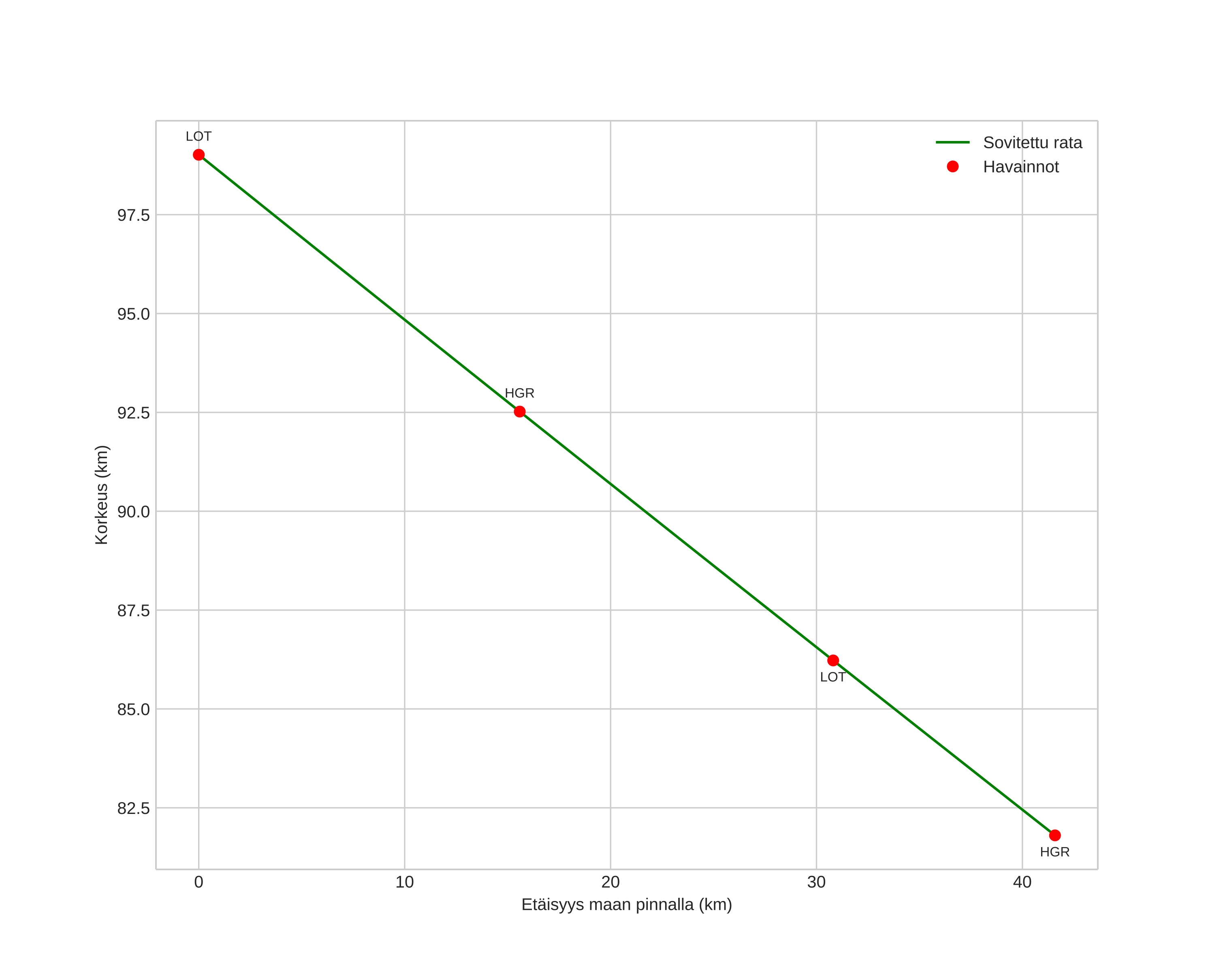
height profile
Meteorin ilmakehärata:
Alkukorkeus: 99,0 km
Loppukorkeus: 81,8 km
Alkupiste: 60,592N 12,561E
Loppupiste: 60,926N 12,214E
Suunta: 333,3°
Kallistuskulma: 22,5°
Tulonopeus: 30,0 km/s
Radiantin R,A,: 12:11 (182,8°)
Radiantin Dekl,: -6,8°
Meteoriparvi: Sporadinen
Meteoroidin rataelementit:
Perihelietäisyys: 0,405 AU
Eksentrisyys: 0,817
Inklinaatio: 5,6°
Nousevan solmun pituus: 176,2°
Perihelin argumentti: 108,5°
Keskianomalia: 346,9°
Epookki: 2025 MAR 16 22:04:09
orbit plot

Ei-interaktiivinen kuvaaja | Interaktiivinen kuvaaja

position vs time
speed and acceleration