🇳🇴 🇬🇧 🇩🇪 🇨🇿 🇫🇮

Meteor, poloha: Torsby 2025-03-17 00:11:58 UTC

Soubor KML

Mapa zobrazuje dráhy meteoru. Světlejší čáry ukazují směry od pozorovacích stanic při objevení se meteoru a tmavší čáry, kde byl naposledy viděn. Modrá šipka značí viditelnou dráhu meteoru.

static map
height profile
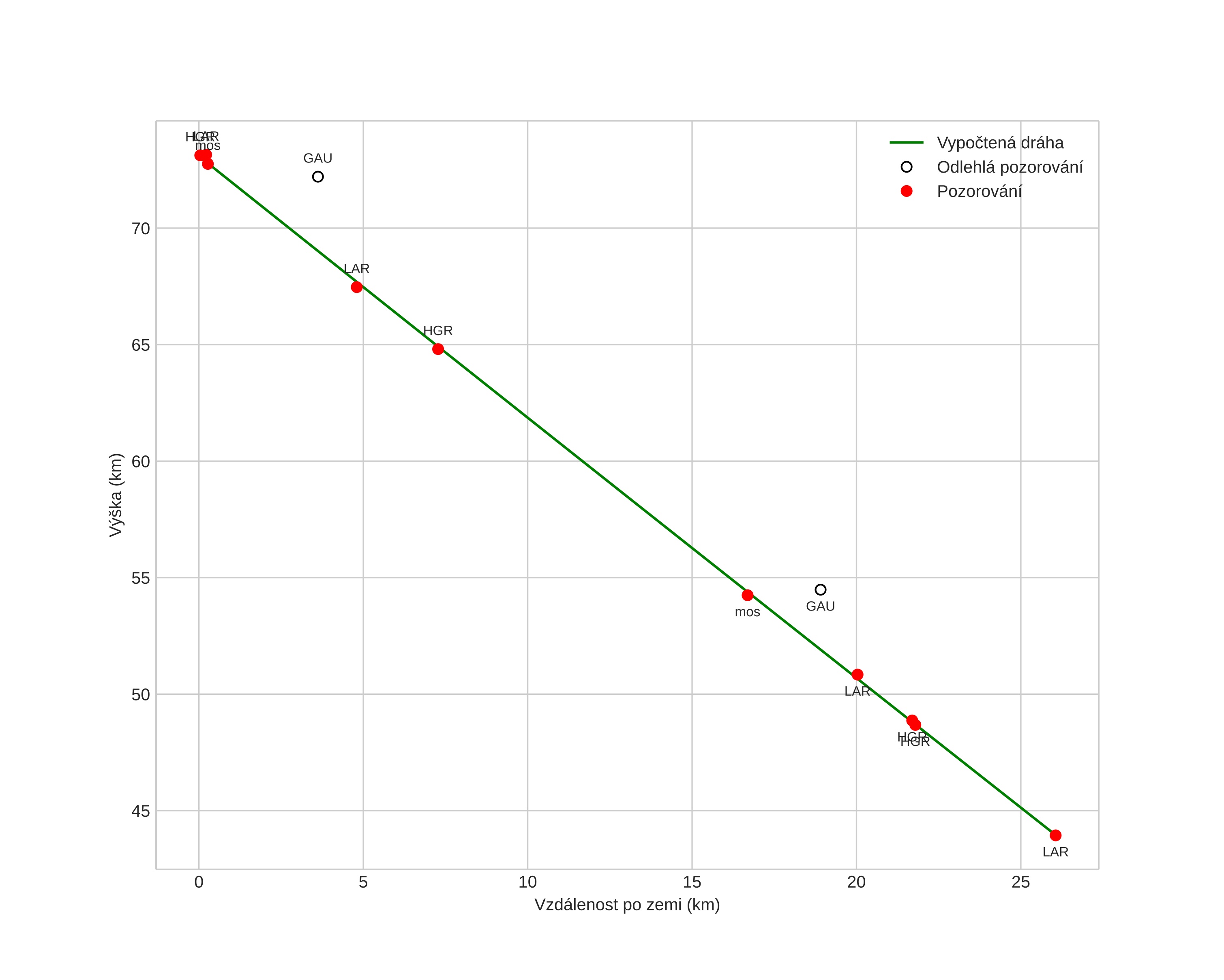
Atmosférická dráha meteoru:
Počáteční výška: 73,1 km
Konečná výška: 43,9 km
Počáteční poloha: 59,896N 12,717E
Konečná poloha: 60,120N 12,855E
Směr: 17,1°
Sklon: 48,2°
VstupnĂ­ rychlost: 16,6 km/s
Rektascenze radiantu: 11:44 (176,2°)
Deklinace radiantu: 12,8°
MeteorickĂ˝ roj: sporadickĂ˝
Elementy dráhy meteoroidu:
Vzdálenost v periheliu: 0,759 AU
Excentricita: 0,416
Sklon dráhy: 4,1°
Délka vzestupného uzlu: 356,3°
Argument perihelia: 258,9°
Střední anomálie: 324,0°
Epocha: 2025 MAR 17 00:11:58
orbit plot

NeinteraktivnĂ­ graf

position vs time
speed and acceleration