🇳🇴 🇬🇧 🇩🇪 🇨🇿 🇫🇮

Meteor, poloha: Tvedestrand 2025-03-17 00:31:30 UTC

Soubor KML  |  InteraktivnĂ­ mapa

Mapa zobrazuje dráhy meteoru. Světlejší čáry ukazují směry od pozorovacích stanic při objevení se meteoru a tmavší čáry, kde byl naposledy viděn. Modrá šipka značí viditelnou dráhu meteoru.

static map
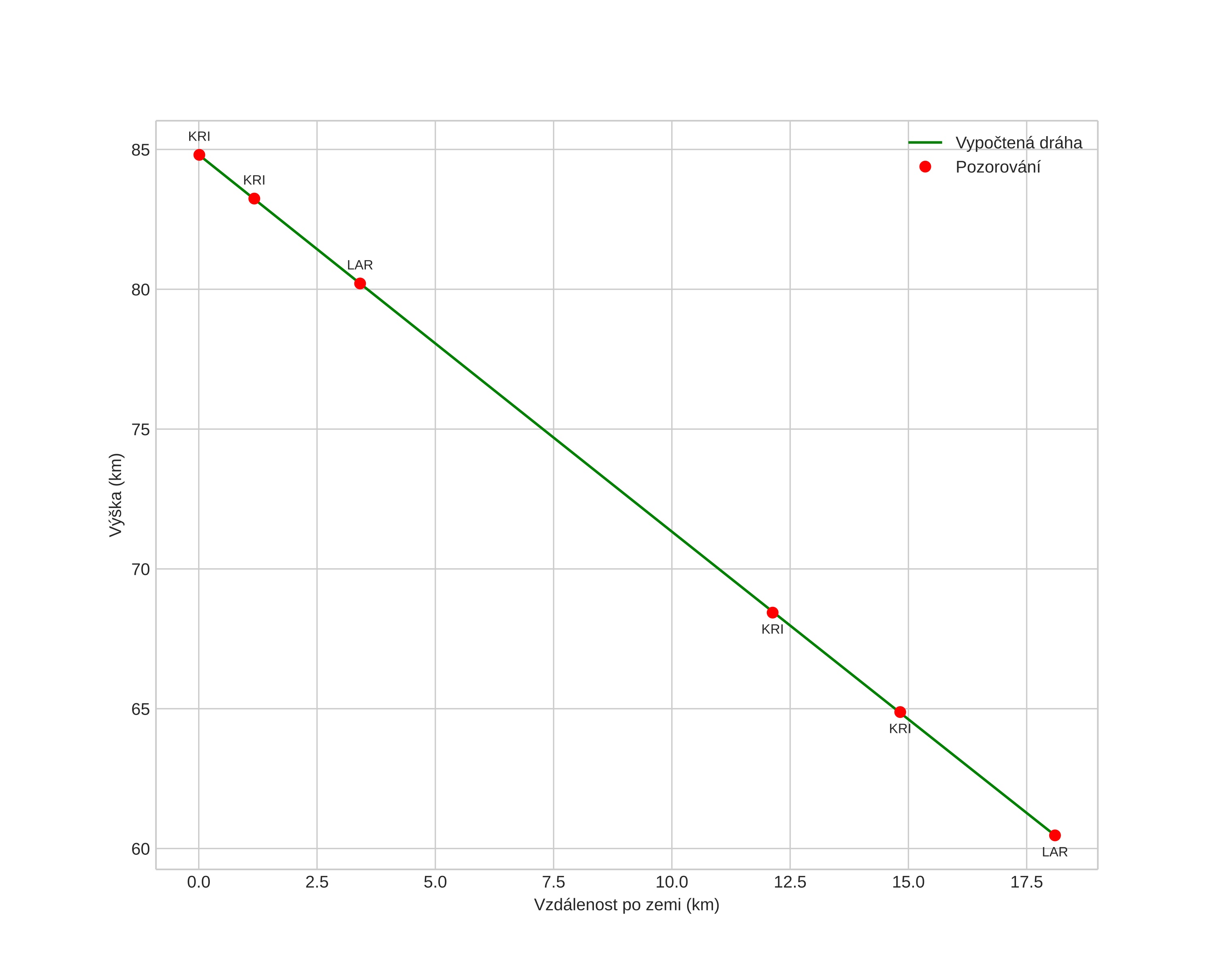
height profile
Atmosférická dráha meteoru:
Počáteční výška: 84,0 km
Konečná výška: 61,0 km
Počáteční poloha: 58,289N 9,026E
Konečná poloha: 58,434N 9,137E
Směr: 21,8°
Sklon: 52,9°
VstupnĂ­ rychlost: 22,8 km/s
Rektascenze radiantu: 11:44 (176,1°)
Deklinace radiantu: 20,1°
MeteorickĂ˝ roj: sporadickĂ˝
Elementy dráhy meteoroidu:
Vzdálenost v periheliu: 0,711 AU
Excentricita: 0,723
Sklon dráhy: 10,0°
Délka vzestupného uzlu: 356,3°
Argument perihelia: 251,4°
Střední anomálie: 349,9°
Epocha: 2025 MAR 17 00:31:30
orbit plot

NeinteraktivnĂ­ graf | InteraktivnĂ­ graf

position vs time
speed and acceleration