🇳🇴 🇬🇧 🇩🇪 🇨🇿 🇫🇮

Meteor, poloha: Rjukan 2025-03-17 00:54:16 UTC

Soubor KML  |  InteraktivnĂ­ mapa

Mapa zobrazuje dráhy meteoru. Světlejší čáry ukazují směry od pozorovacích stanic při objevení se meteoru a tmavší čáry, kde byl naposledy viděn. Modrá šipka značí viditelnou dráhu meteoru.

static map
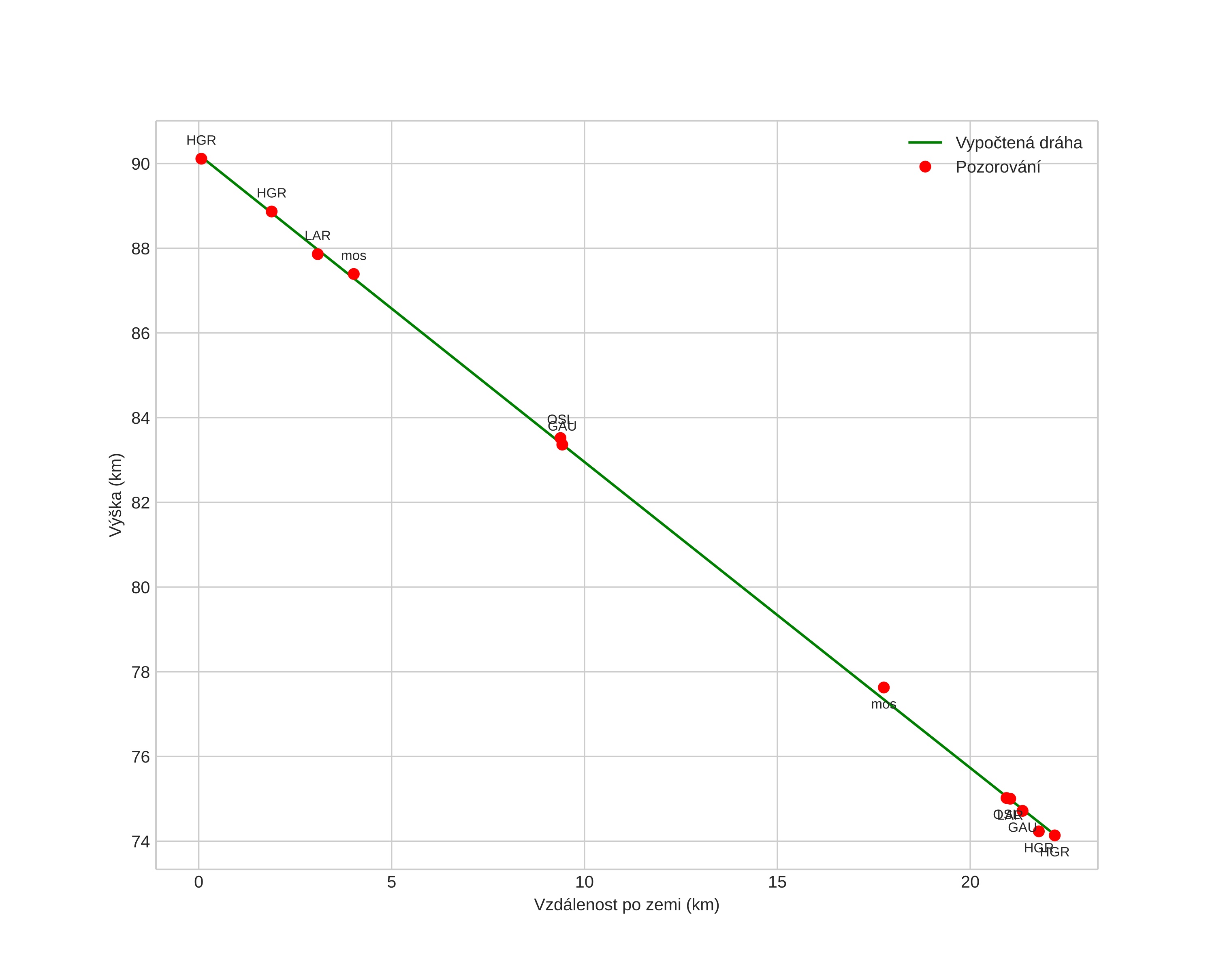
height profile
Atmosférická dráha meteoru:
Počáteční výška: 88,9 km
Konečná výška: 73,7 km
Počáteční poloha: 59,795N 8,295E
Konečná poloha: 59,978N 8,381E
Směr: 13,1°
Sklon: 36,1°
VstupnĂ­ rychlost: 28,4 km/s
Rektascenze radiantu: 12:19 (184,9°)
Deklinace radiantu: 4,1°
MeteorickĂ˝ roj: sporadickĂ˝
Elementy dráhy meteoroidu:
Vzdálenost v periheliu: 0,457 AU
Excentricita: 0,791
Sklon dráhy: 5,5°
Délka vzestupného uzlu: 356,3°
Argument perihelia: 282,9°
Střední anomálie: 346,4°
Epocha: 2025 MAR 17 00:54:16
orbit plot

NeinteraktivnĂ­ graf | InteraktivnĂ­ graf

position vs time
speed and acceleration