🇳🇴 🇬🇧 🇩🇪 🇨🇿 🇫🇮

Meteor, poloha: Ă…mli 2025-03-17 01:26:48 UTC

Soubor KML  |  InteraktivnĂ­ mapa

Mapa zobrazuje dráhy meteoru. Světlejší čáry ukazují směry od pozorovacích stanic při objevení se meteoru a tmavší čáry, kde byl naposledy viděn. Modrá šipka značí viditelnou dráhu meteoru.

static map
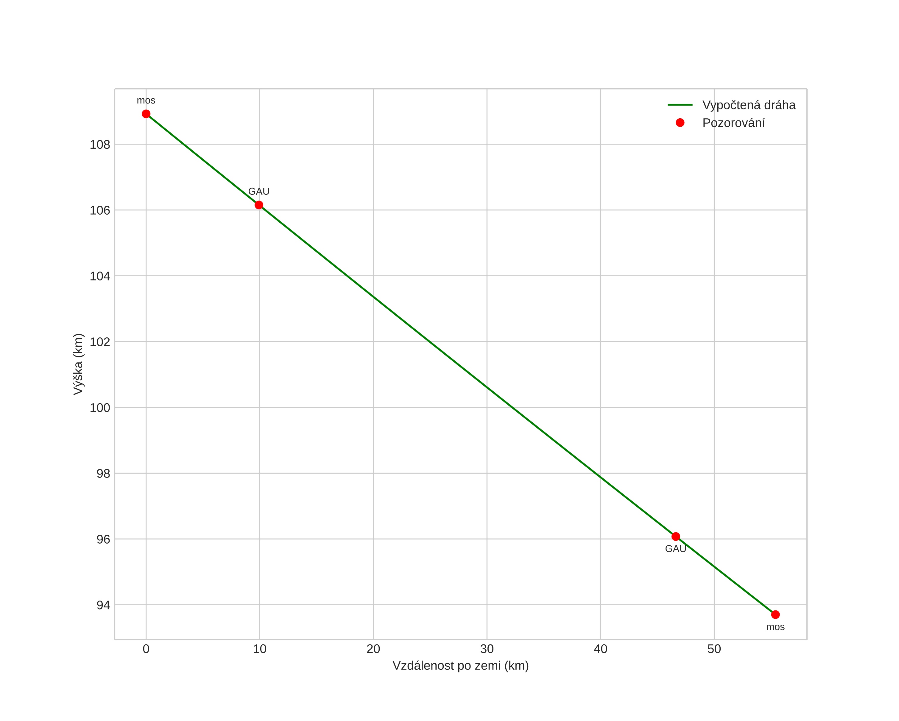
height profile
Atmosférická dráha meteoru:
Počáteční výška: 103,4 km
Konečná výška: 96,0 km
Počáteční poloha: 58,646N 8,876E
Konečná poloha: 58,639N 8,355E
Směr: 268,6°
Sklon: 13,8°
VstupnĂ­ rychlost: 60,7 km/s
Rektascenze radiantu: 19:17 (289,3°)
Deklinace radiantu: 11,8°
MeteorickĂ˝ roj: sporadickĂ˝
Elementy dráhy meteoroidu:
Vzdálenost v periheliu: 0,716 AU
Excentricita: 1,017
Sklon dráhy: 113,5°
Délka vzestupného uzlu: 356,4°
Argument perihelia: 116,3°
Střední anomálie: 0,1°
Epocha: 2025 MAR 17 01:26:48
orbit plot

NeinteraktivnĂ­ graf | InteraktivnĂ­ graf

position vs time
speed and acceleration