🇳🇴 🇬🇧 🇩🇪 🇨🇿 🇫🇮

Meteor Tvedestrandin yllä 2025-03-17 22:36:58 UTC

KML-tiedosto  |  Interaktiivinen kartta

Kartta näyttää meteorin suuntahavainnot. Vaaleammat viivat näyttävät suunnat havaintoasemilta meteorin ilmestyessä, ja tummemmat viivat näyttävät, missä se viimeksi nähtiin. Sininen nuoli näyttää meteorin näkyvän lennon.

static map
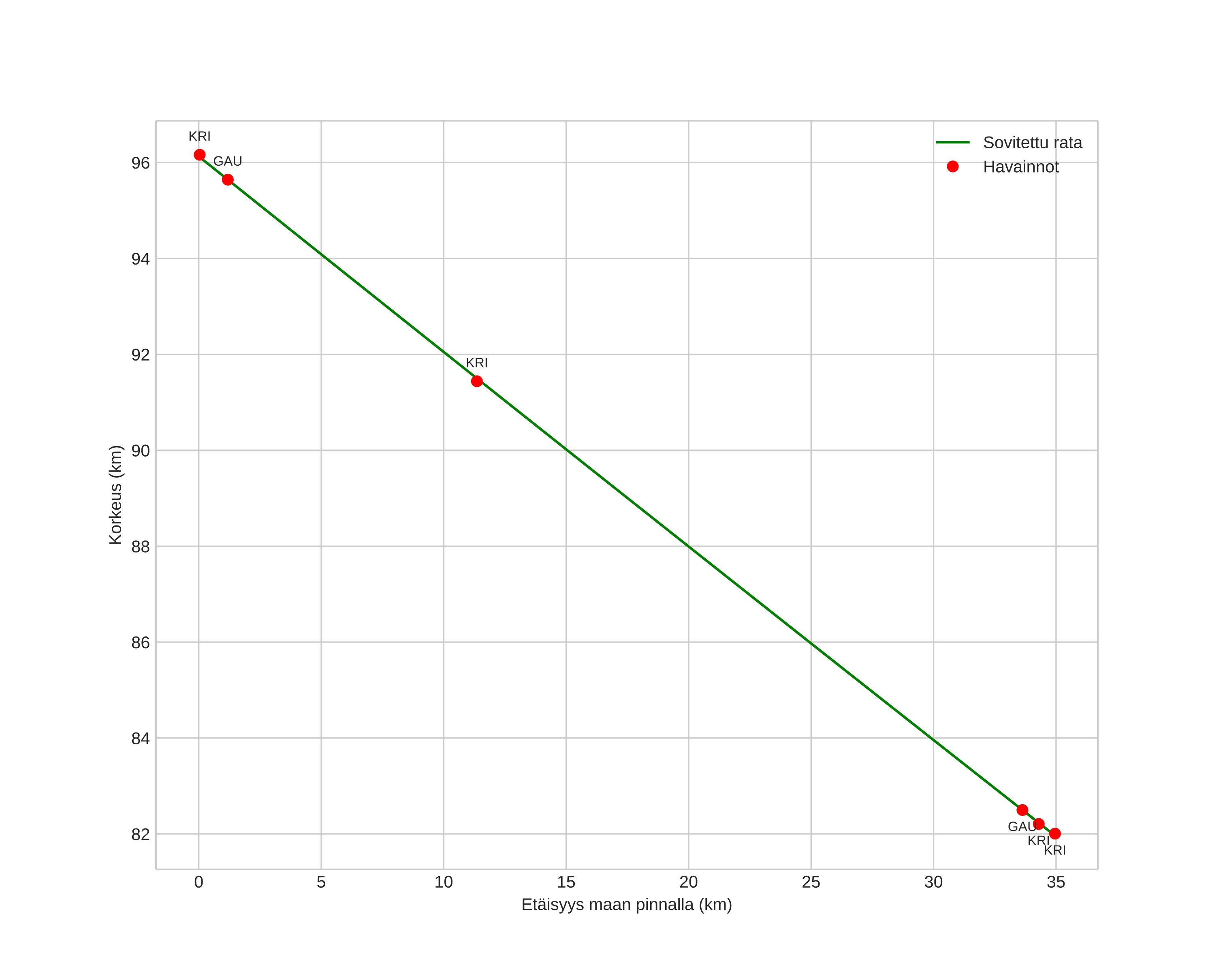
height profile
Meteorin ilmakehärata:
Alkukorkeus: 95,3 km
Loppukorkeus: 80,7 km
Alkupiste: 58,218N 9,530E
Loppupiste: 58,447N 9,078E
Suunta: 314,1°
Kallistuskulma: 21,7°
Tulonopeus: 42,7 km/s
Radiantin R,A,: 13:44 (206,2°)
Radiantin Dekl,: -2,7°
Meteoriparvi: Sporadinen
Meteoroidin rataelementit:
Perihelietäisyys: 0,083 AU
Eksentrisyys: 0,965
Inklinaatio: 26,8°
Nousevan solmun pituus: 357,2°
Perihelin argumentti: 330,1°
Keskianomalia: 351,0°
Epookki: 2025 MAR 17 22:36:58
orbit plot

Ei-interaktiivinen kuvaaja | Interaktiivinen kuvaaja

position vs time
speed and acceleration

Kristiansand (KRI) cam6


gnomonic
Videot:
• Gnomoninen
• Gnomoninen koordinaateilla
• Alkuperäinen
• Alkuperäinen koordinaateilla
Kuvat:
• Gnomoninen
• Gnomoninen koordinaateilla
• Alkuperäinen
• Alkuperäinen koordinaateilla
Tekstitiedostot:
• Havaintoraportti
• Observaatio
• Koordinaatit
• Loki
Kirkkaus