🇳🇴 🇬🇧 🇩🇪 🇨🇿 🇫🇮

Meteor, poloha: Langesund 2025-03-18 04:04:14 UTC

Soubor KML  |  InteraktivnĂ­ mapa

Mapa zobrazuje dráhy meteoru. Světlejší čáry ukazují směry od pozorovacích stanic při objevení se meteoru a tmavší čáry, kde byl naposledy viděn. Modrá šipka značí viditelnou dráhu meteoru.

static map
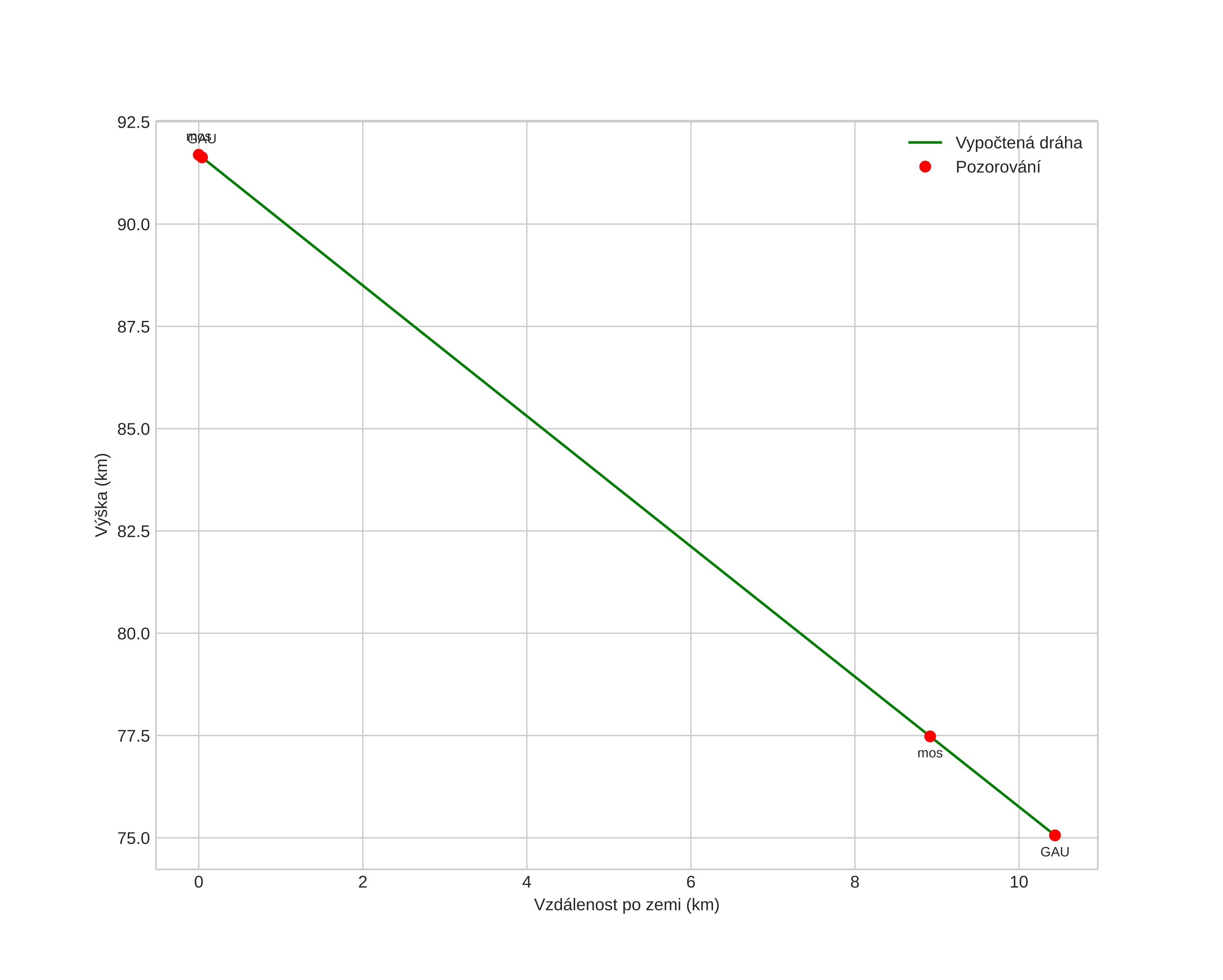
height profile
Atmosférická dráha meteoru:
Počáteční výška: 91,4 km
Konečná výška: 75,0 km
Počáteční poloha: 59,187N 9,785E
Konečná poloha: 59,096N 9,836E
Směr: 163,9°
Sklon: 57,4°
VstupnĂ­ rychlost: 16,3 km/s
Rektascenze radiantu: 08:31 (127,9°)
Deklinace radiantu: 77,9°
MeteorickĂ˝ roj: sporadickĂ˝
Elementy dráhy meteoroidu:
Vzdálenost v periheliu: 0,994 AU
Excentricita: 0,592
Sklon dráhy: 15,3°
Délka vzestupného uzlu: 357,5°
Argument perihelia: 185,5°
Střední anomálie: 358,9°
Epocha: 2025 MAR 18 04:04:14
orbit plot

NeinteraktivnĂ­ graf | InteraktivnĂ­ graf

position vs time
speed and acceleration