🇳🇴 🇬🇧 🇩🇪 🇨🇿 🇫🇮

Meteor, poloha: Torsby 2025-03-18 22:49:13 UTC

Soubor KML  |  InteraktivnĂ­ mapa

Mapa zobrazuje dráhy meteoru. Světlejší čáry ukazují směry od pozorovacích stanic při objevení se meteoru a tmavší čáry, kde byl naposledy viděn. Modrá šipka značí viditelnou dráhu meteoru.

static map
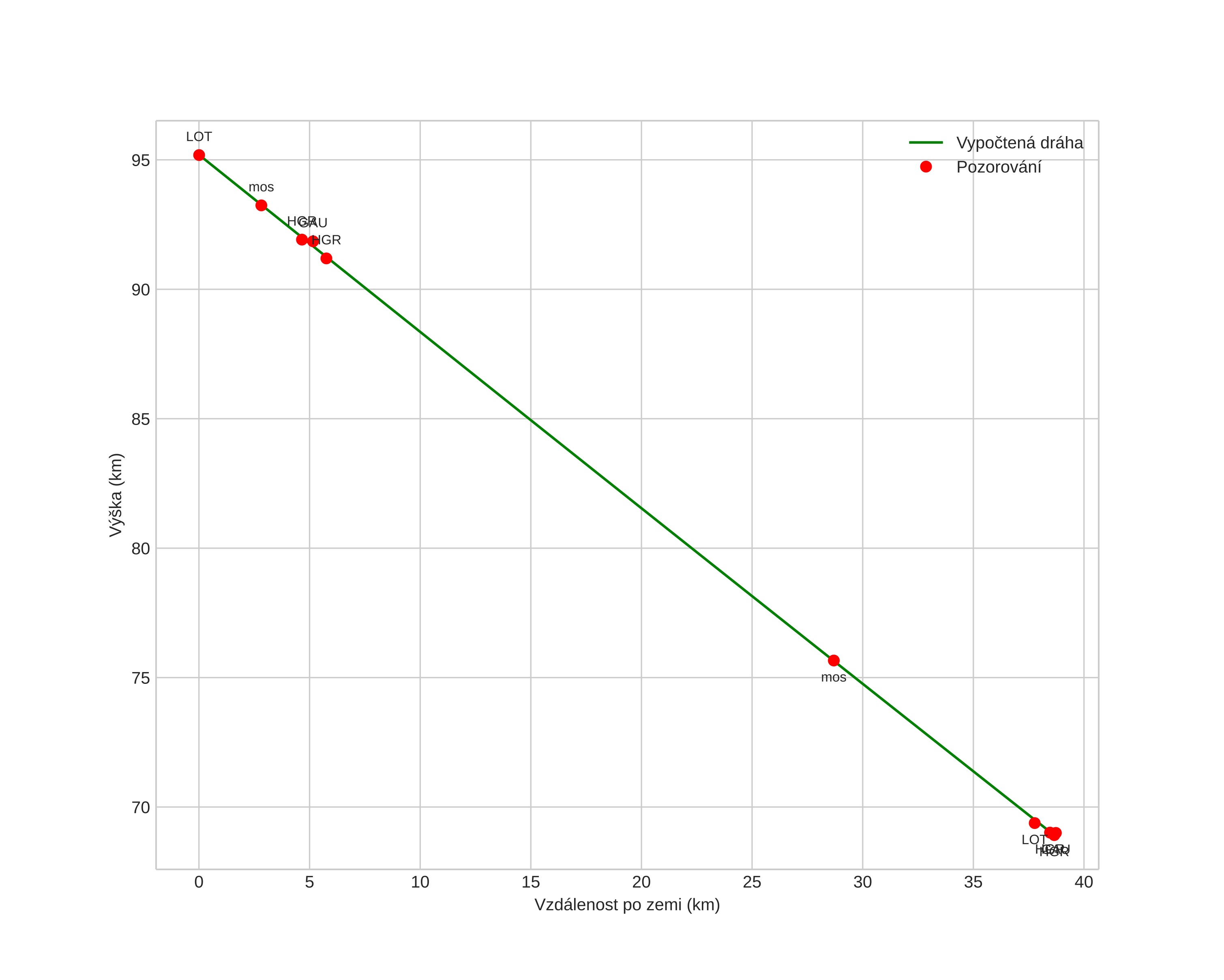
height profile
Atmosférická dráha meteoru:
Počáteční výška: 95,2 km
Konečná výška: 68,9 km
Počáteční poloha: 59,793N 13,070E
Konečná poloha: 60,125N 12,860E
Směr: 342,5°
Sklon: 34,2°
VstupnĂ­ rychlost: 28,8 km/s
Rektascenze radiantu: 12:24 (186,1°)
Deklinace radiantu: 2,8°
MeteorickĂ˝ roj: sporadickĂ˝
Elementy dráhy meteoroidu:
Vzdálenost v periheliu: 0,456 AU
Excentricita: 0,803
Sklon dráhy: 4,8°
Délka vzestupného uzlu: 358,2°
Argument perihelia: 282,5°
Střední anomálie: 347,6°
Epocha: 2025 MAR 18 22:49:13
orbit plot

NeinteraktivnĂ­ graf | InteraktivnĂ­ graf

position vs time
speed and acceleration