🇳🇴 🇬🇧 🇩🇪 🇨🇿 🇫🇮

Meteor Innbygdan yllä 2025-03-19 21:32:05 UTC

KML-tiedosto  |  Interaktiivinen kartta

Kartta näyttää meteorin suuntahavainnot. Vaaleammat viivat näyttävät suunnat havaintoasemilta meteorin ilmestyessä, ja tummemmat viivat näyttävät, missä se viimeksi nähtiin. Sininen nuoli näyttää meteorin näkyvän lennon.

static map
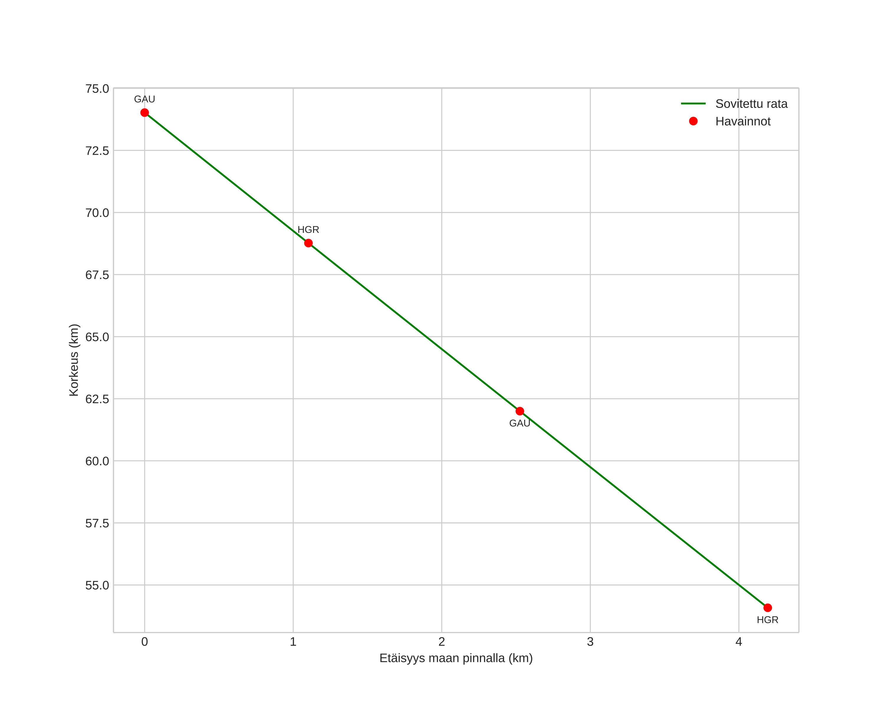
height profile
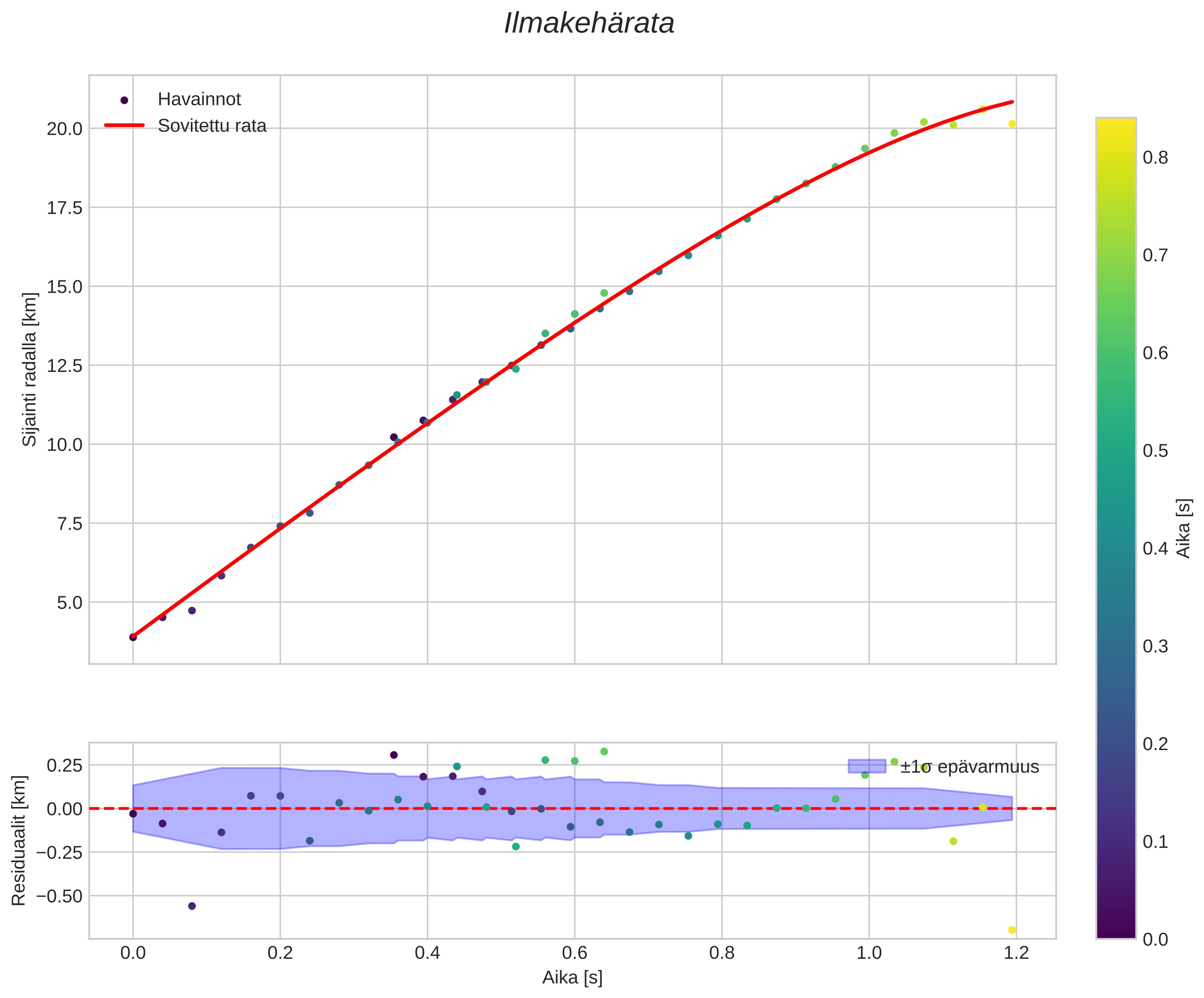
Meteorin ilmakehärata:
Alkukorkeus: 78,7 km
Loppukorkeus: 52,2 km
Alkupiste: 61,501N 12,120E
Loppupiste: 61,402N 11,970E
Suunta: 216,0°
Kallistuskulma: 62,9°
Tulonopeus: 19,6 km/s
Radiantin R,A,: 15:20 (230,1°)
Radiantin Dekl,: 73,3°
Meteoriparvi: Sporadinen
Meteoroidin rataelementit:
Perihelietäisyys: 0,989 AU
Eksentrisyys: 0,482
Inklinaatio: 25,3°
Nousevan solmun pituus: 359,2°
Perihelin argumentti: 192,1°
Keskianomalia: 356,3°
Epookki: 2025 MAR 19 21:32:05
orbit plot

Ei-interaktiivinen kuvaaja | Interaktiivinen kuvaaja

position vs time
speed and acceleration