🇳🇴 🇬🇧 🇩🇪 🇨🇿 🇫🇮

Meteor Vikersundin yllä 2025-03-20 00:21:46 UTC

KML-tiedosto  |  Interaktiivinen kartta

Kartta näyttää meteorin suuntahavainnot. Vaaleammat viivat näyttävät suunnat havaintoasemilta meteorin ilmestyessä, ja tummemmat viivat näyttävät, missä se viimeksi nähtiin. Sininen nuoli näyttää meteorin näkyvän lennon.

static map
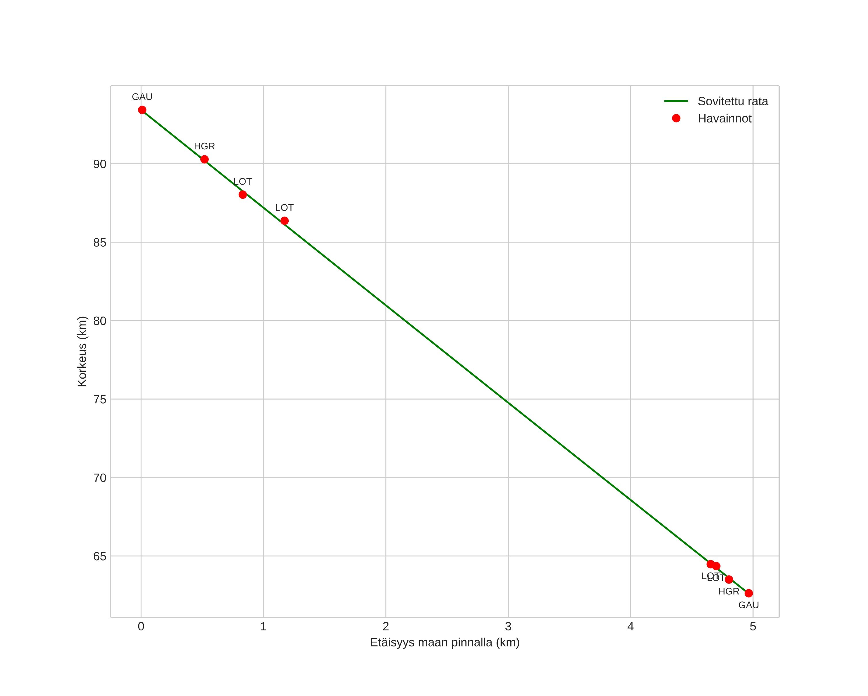
height profile
Meteorin ilmakehärata:
Alkukorkeus: 93,5 km
Loppukorkeus: 62,5 km
Alkupiste: 60,006N 10,203E
Loppupiste: 59,986N 10,122E
Suunta: 244,1°
Kallistuskulma: 80,8°
Tulonopeus: 22,9 km/s
Radiantin R,A,: 14:05 (211,4°)
Radiantin Dekl,: 63,1°
Meteoriparvi: Sporadinen
Meteoroidin rataelementit:
Perihelietäisyys: 0,949 AU
Eksentrisyys: 0,640
Inklinaatio: 29,2°
Nousevan solmun pituus: 359,3°
Perihelin argumentti: 208,4°
Keskianomalia: 355,1°
Epookki: 2025 MAR 20 00:21:46
orbit plot

Ei-interaktiivinen kuvaaja | Interaktiivinen kuvaaja

position vs time
speed and acceleration