🇳🇴 🇬🇧 🇩🇪 🇨🇿 🇫🇮

Meteor, poloha: Bismo 2025-03-20 01:47:20 UTC

Soubor KML  |  InteraktivnĂ­ mapa

Mapa zobrazuje dráhy meteoru. Světlejší čáry ukazují směry od pozorovacích stanic při objevení se meteoru a tmavší čáry, kde byl naposledy viděn. Modrá šipka značí viditelnou dráhu meteoru.

static map
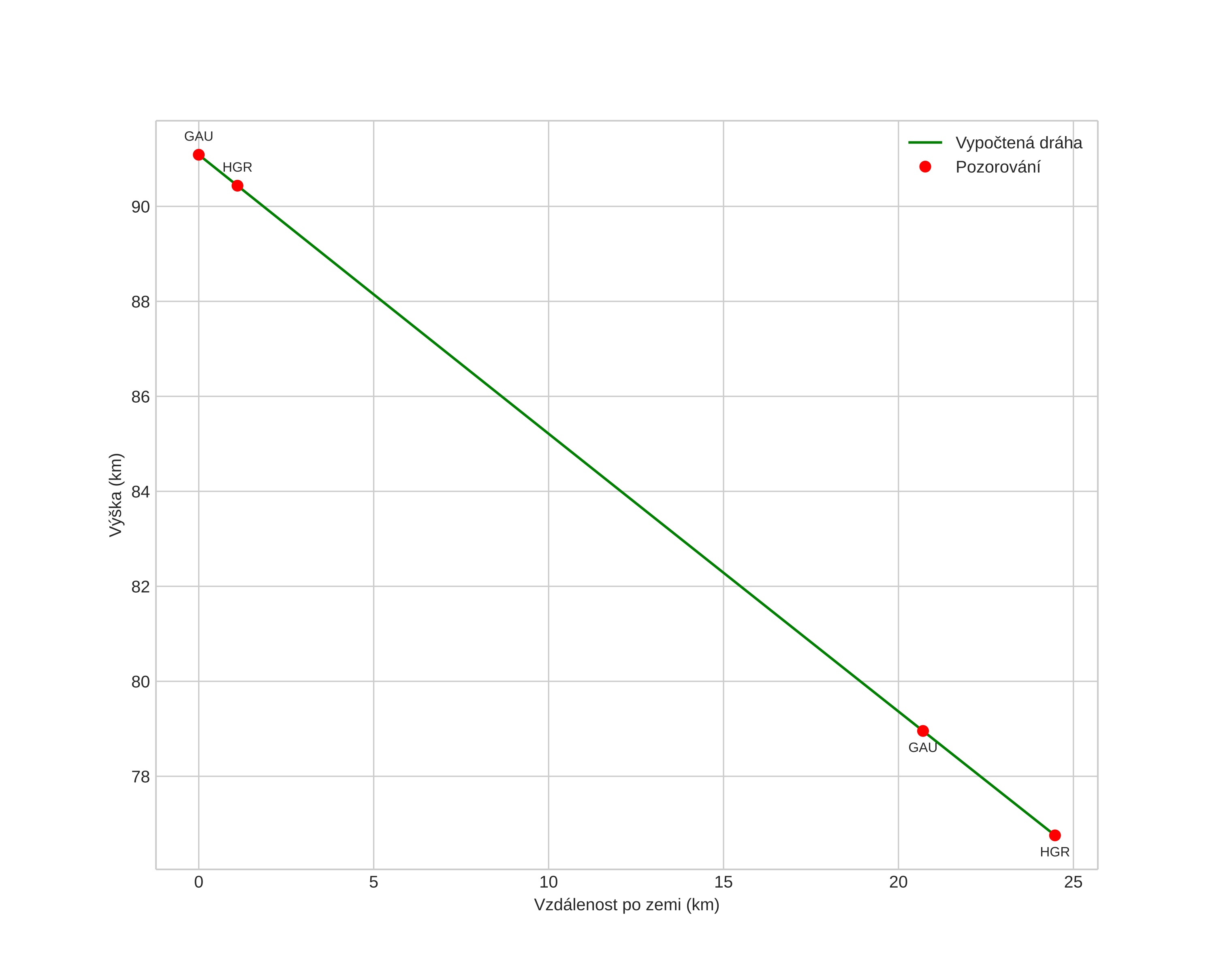
height profile
Atmosférická dráha meteoru:
Počáteční výška: 91,1 km
Konečná výška: 76,7 km
Počáteční poloha: 61,377N 7,899E
Konečná poloha: 61,573N 8,107E
Směr: 26,9°
Sklon: 30,6°
VstupnĂ­ rychlost: 29,5 km/s
Rektascenze radiantu: 12:32 (188,2°)
Deklinace radiantu: 2,2°
MeteorickĂ˝ roj: sporadickĂ˝
Elementy dráhy meteoroidu:
Vzdálenost v periheliu: 0,433 AU
Excentricita: 0,818
Sklon dráhy: 5,4°
Délka vzestupného uzlu: 359,4°
Argument perihelia: 284,9°
Střední anomálie: 348,3°
Epocha: 2025 MAR 20 01:47:20
orbit plot

NeinteraktivnĂ­ graf | InteraktivnĂ­ graf

position vs time
speed and acceleration

Gaustatoppen (GAU) cam1


gnomonic
Videa
• Gnomonická
• Gnomonická se souřadnicemi
• Původní
• Původní se souřadnicemi
Obrázky
• Gnomonická
• Gnomonická se souřadnicemi
• Gnomonická s popisky
• Původní
• Původní se souřadnicemi
Textové soubory
• Detekce
• Pozorování
• Souřadnice
• Protokol
Jasnost