🇳🇴 🇬🇧 🇩🇪 🇨🇿 🇫🇮

Meteor Innbygdan yllä 2025-03-20 01:57:32 UTC

KML-tiedosto  |  Interaktiivinen kartta

Kartta näyttää meteorin suuntahavainnot. Vaaleammat viivat näyttävät suunnat havaintoasemilta meteorin ilmestyessä, ja tummemmat viivat näyttävät, missä se viimeksi nähtiin. Sininen nuoli näyttää meteorin näkyvän lennon.

static map
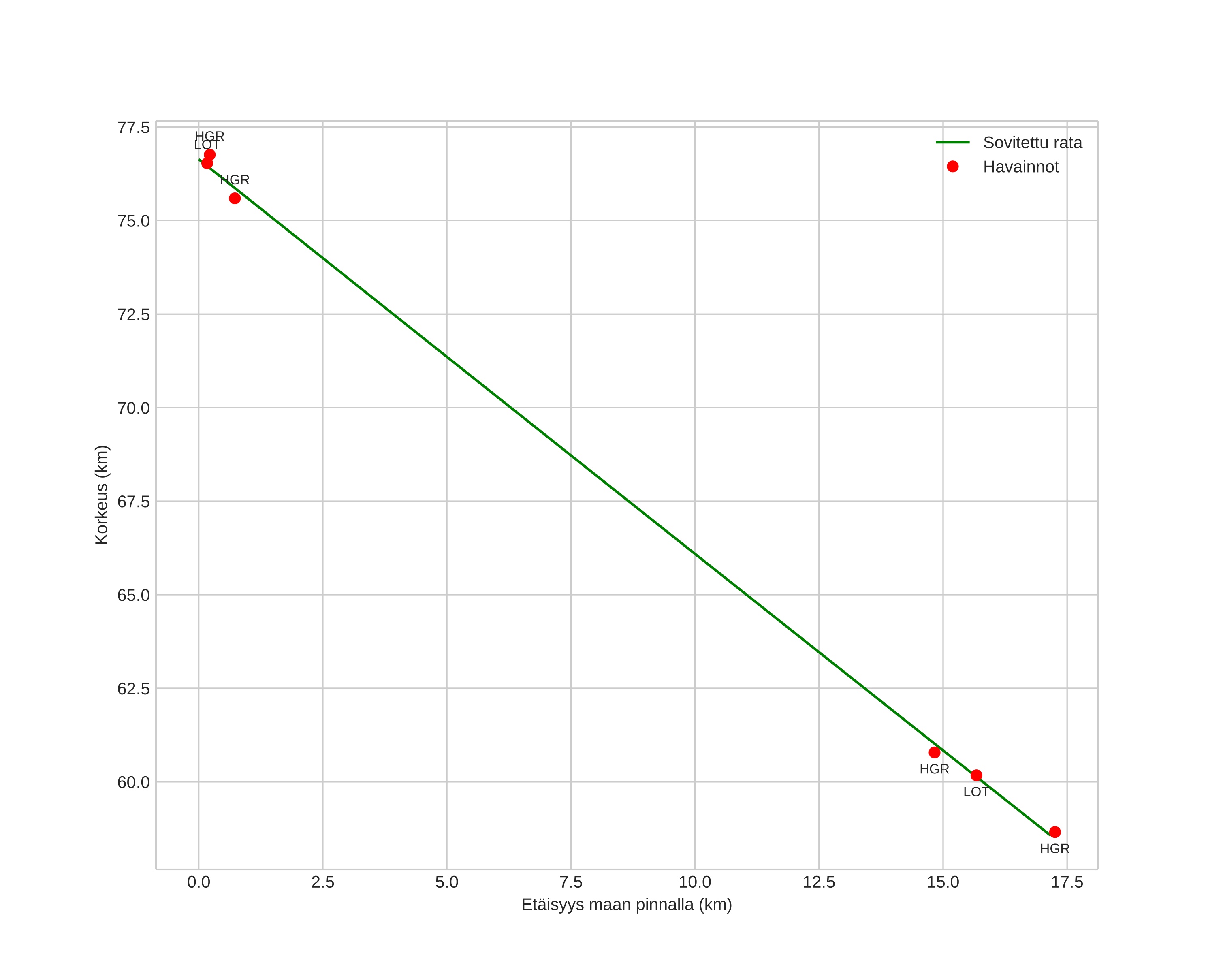
height profile
Meteorin ilmakehärata:
Alkukorkeus: 88,2 km
Loppukorkeus: 60,9 km
Alkupiste: 61,207N 11,576E
Loppupiste: 61,120N 11,944E
Suunta: 115,8°
Kallistuskulma: 51,1°
Tulonopeus: 17,8 km/s
Radiantin R,A,: 09:04 (136,0°)
Radiantin Dekl,: 50,5°
Meteoriparvi: Sporadinen
Meteoroidin rataelementit:
Perihelietäisyys: 0,973 AU
Eksentrisyys: 0,892
Inklinaatio: 10,7°
Nousevan solmun pituus: 359,4°
Perihelin argumentti: 198,1°
Keskianomalia: 359,5°
Epookki: 2025 MAR 20 01:57:32
orbit plot

Ei-interaktiivinen kuvaaja | Interaktiivinen kuvaaja

position vs time
speed and acceleration