🇳🇴 🇬🇧 🇩🇪 🇨🇿 🇫🇮

Meteor, poloha: Innbygda 2025-03-20 03:29:30 UTC

Soubor KML  |  InteraktivnĂ­ mapa

Mapa zobrazuje dráhy meteoru. Světlejší čáry ukazují směry od pozorovacích stanic při objevení se meteoru a tmavší čáry, kde byl naposledy viděn. Modrá šipka značí viditelnou dráhu meteoru.

static map
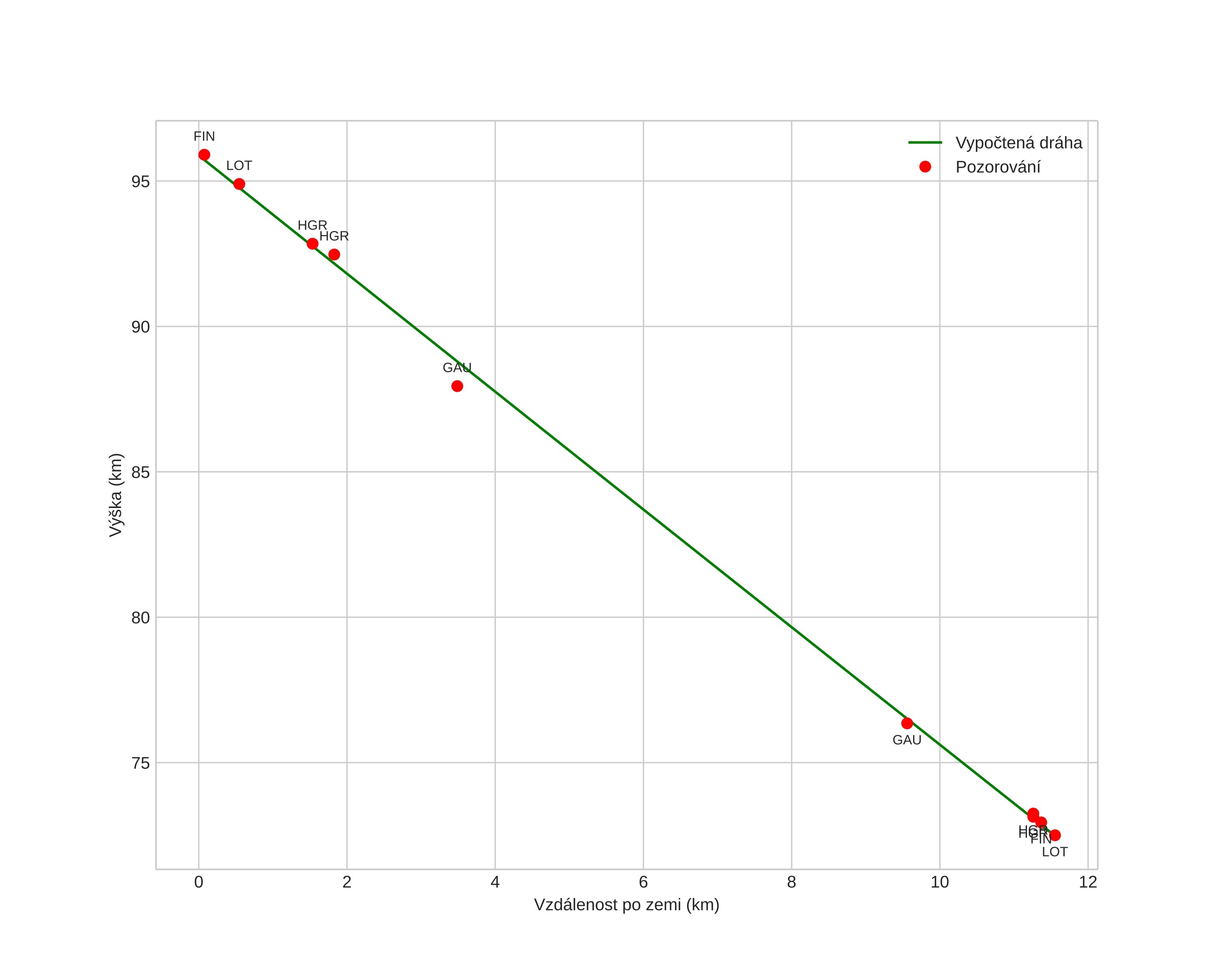
height profile
Atmosférická dráha meteoru:
Počáteční výška: 96,2 km
Konečná výška: 71,4 km
Počáteční poloha: 61,231N 12,114E
Konečná poloha: 61,125N 12,168E
Směr: 166,4°
Sklon: 63,9°
VstupnĂ­ rychlost: 19,2 km/s
Rektascenze radiantu: 10:30 (157,6°)
Deklinace radiantu: 82,8°
MeteorickĂ˝ roj: sporadickĂ˝
Elementy dráhy meteoroidu:
Vzdálenost v periheliu: 0,994 AU
Excentricita: 0,737
Sklon dráhy: 20,8°
Délka vzestupného uzlu: 359,4°
Argument perihelia: 184,8°
Střední anomálie: 359,5°
Epocha: 2025 MAR 20 03:29:30
orbit plot

NeinteraktivnĂ­ graf | InteraktivnĂ­ graf

position vs time
speed and acceleration