🇳🇴 🇬🇧 🇩🇪 🇨🇿 🇫🇮

Meteor, poloha: Jessheim 2025-03-21 02:26:23 UTC

Soubor KML  |  InteraktivnĂ­ mapa

Mapa zobrazuje dráhy meteoru. Světlejší čáry ukazují směry od pozorovacích stanic při objevení se meteoru a tmavší čáry, kde byl naposledy viděn. Modrá šipka značí viditelnou dráhu meteoru.

static map
height profile
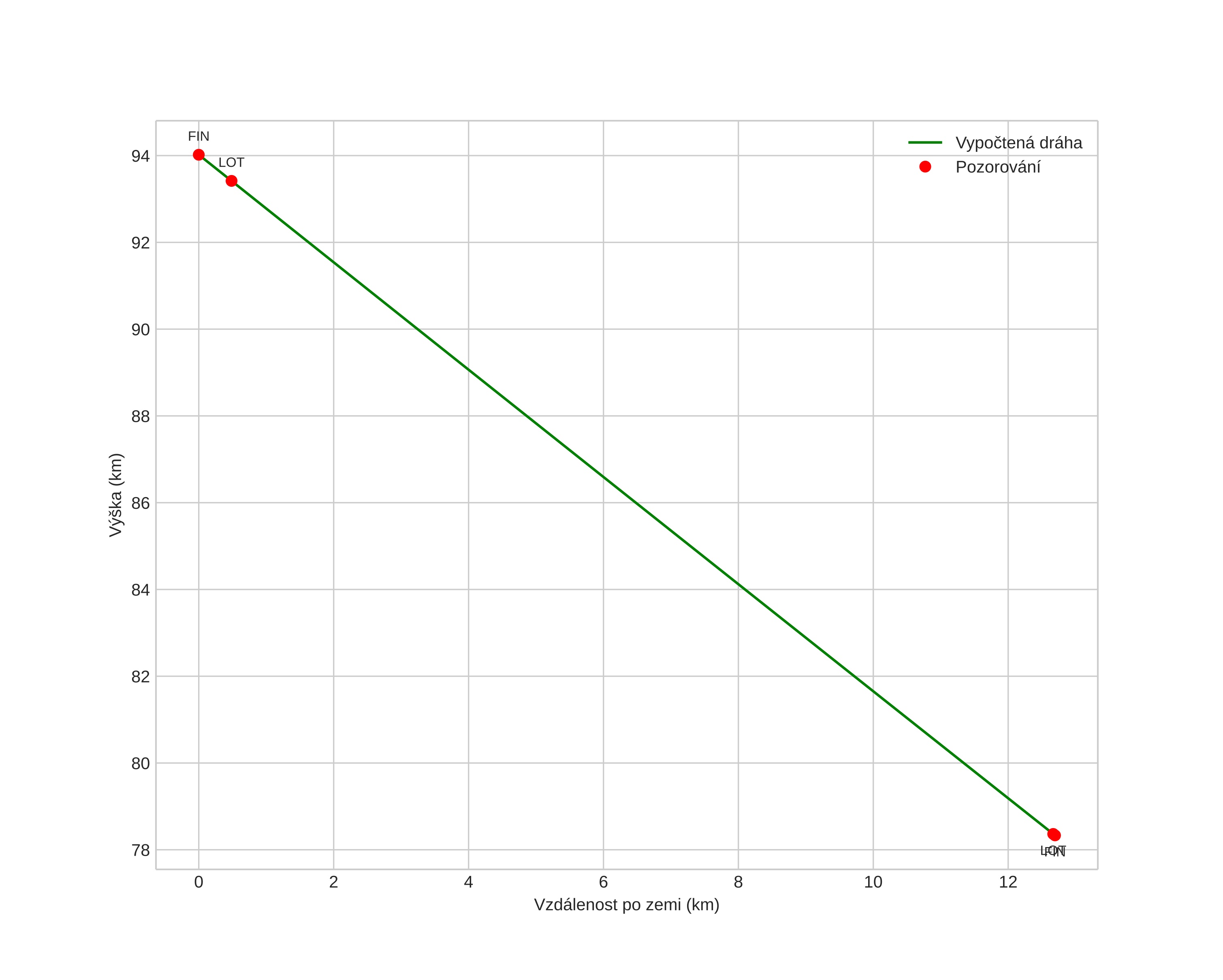
Atmosférická dráha meteoru:
Počáteční výška: 100,0 km
Konečná výška: 78,2 km
Počáteční poloha: 60,201N 11,505E
Konečná poloha: 60,116N 11,239E
Směr: 237,5°
Sklon: 51,3°
VstupnĂ­ rychlost: 27,3 km/s
Rektascenze radiantu: 20:34 (308,7°)
Deklinace radiantu: 56,7°
MeteorickĂ˝ roj: sporadickĂ˝
Elementy dráhy meteoroidu:
Vzdálenost v periheliu: 0,922 AU
Excentricita: 0,629
Sklon dráhy: 39,4°
Délka vzestupného uzlu: 0,4°
Argument perihelia: 144,0°
Střední anomálie: 6,7°
Epocha: 2025 MAR 21 02:26:23
orbit plot

NeinteraktivnĂ­ graf | InteraktivnĂ­ graf

position vs time
speed and acceleration