🇳🇴 🇬🇧 🇩🇪 🇨🇿 🇫🇮

Meteor, poloha: Mockfjärd 2025-03-21 02:41:17 UTC

Soubor KML  |  InteraktivnĂ­ mapa

Mapa zobrazuje dráhy meteoru. Světlejší čáry ukazují směry od pozorovacích stanic při objevení se meteoru a tmavší čáry, kde byl naposledy viděn. Modrá šipka značí viditelnou dráhu meteoru.

static map
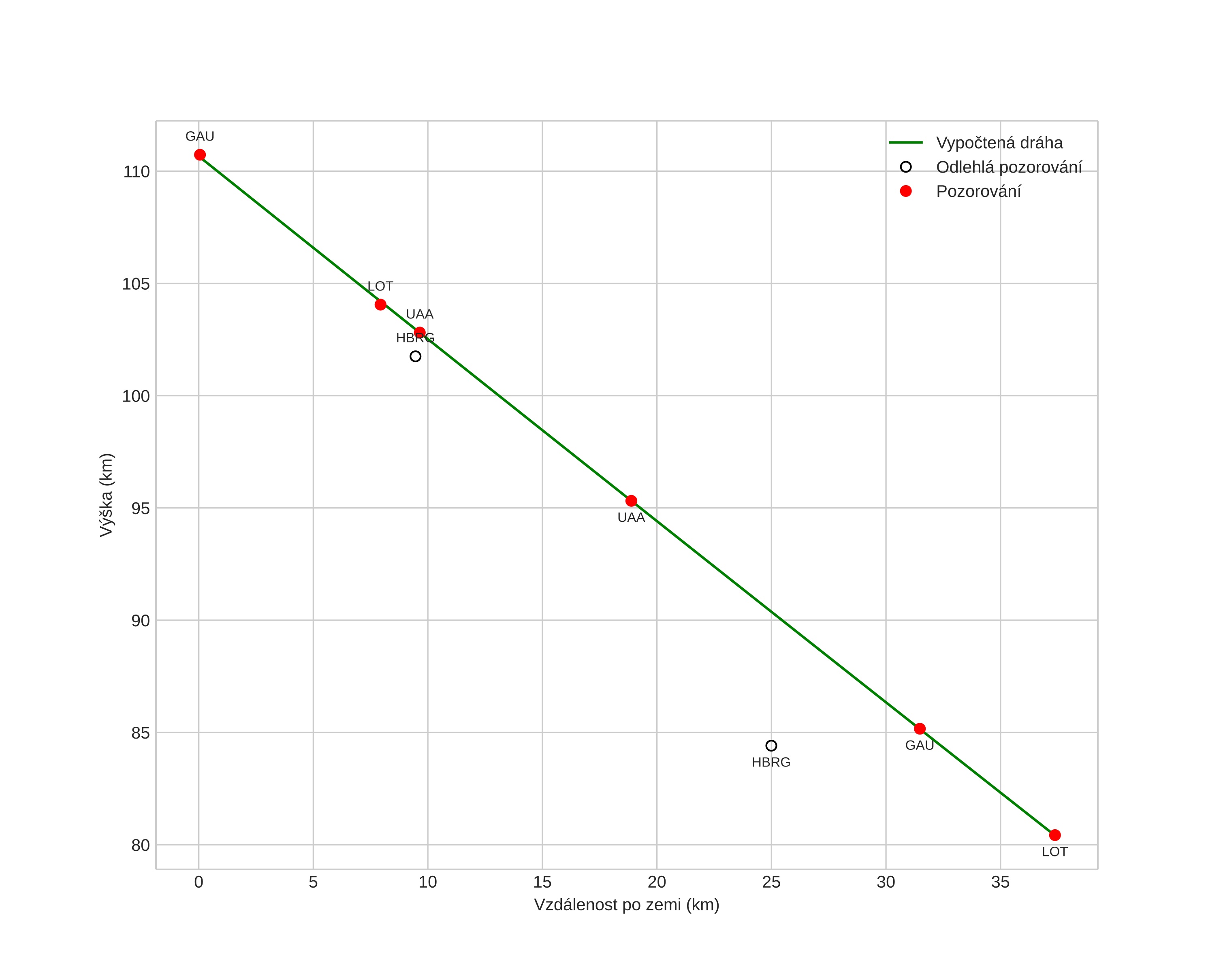
height profile
Atmosférická dráha meteoru:
Počáteční výška: 110,8 km
Konečná výška: 80,3 km
Počáteční poloha: 60,206N 15,287E
Konečná poloha: 60,494N 14,915E
Směr: 327,6°
Sklon: 38,7°
VstupnĂ­ rychlost: 66,8 km/s
Rektascenze radiantu: 17:17 (259,3°)
Deklinace radiantu: 12,0°
MeteorickĂ˝ roj: sporadickĂ˝
Elementy dráhy meteoroidu:
Vzdálenost v periheliu: 0,937 AU
Excentricita: 1,302
Sklon dráhy: 120,9°
Délka vzestupného uzlu: 0,4°
Argument perihelia: 206,5°
Střední anomálie: -3,0°
Epocha: 2025 MAR 21 02:41:17
orbit plot

NeinteraktivnĂ­ graf | InteraktivnĂ­ graf

position vs time
speed and acceleration