🇳🇴 🇬🇧 🇩🇪 🇨🇿 🇫🇮

Meteor, poloha: Ă…len 2025-03-21 02:44:57 UTC

Soubor KML  |  InteraktivnĂ­ mapa

Mapa zobrazuje dráhy meteoru. Světlejší čáry ukazují směry od pozorovacích stanic při objevení se meteoru a tmavší čáry, kde byl naposledy viděn. Modrá šipka značí viditelnou dráhu meteoru.

static map
height profile
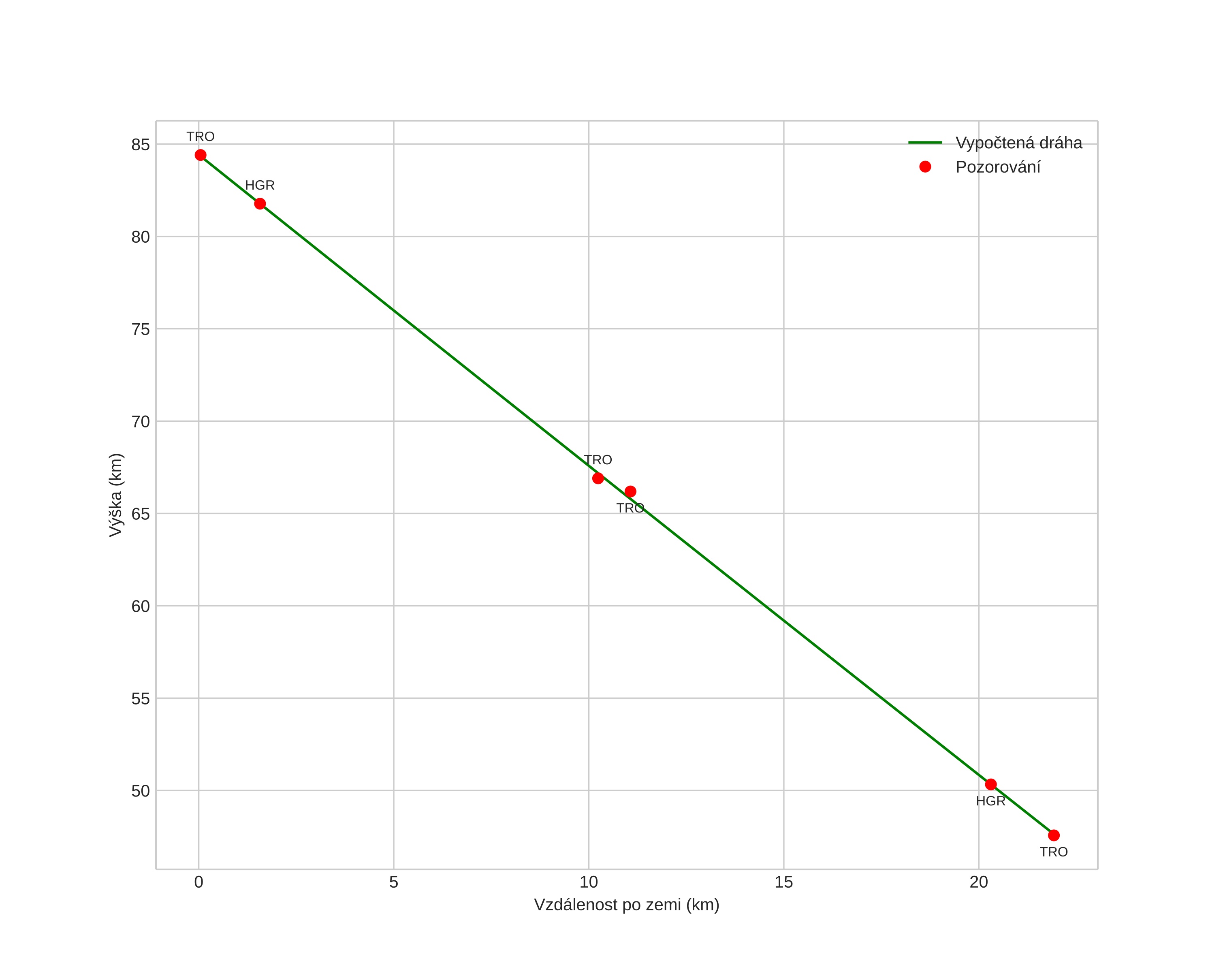
Atmosférická dráha meteoru:
Počáteční výška: 84,2 km
Konečná výška: 47,4 km
Počáteční poloha: 62,863N 10,956E
Konečná poloha: 62,801N 11,367E
Směr: 107,9°
Sklon: 59,1°
VstupnĂ­ rychlost: 17,0 km/s
Rektascenze radiantu: 10:46 (161,7°)
Deklinace radiantu: 53,4°
MeteorickĂ˝ roj: sporadickĂ˝
Elementy dráhy meteoroidu:
Vzdálenost v periheliu: 0,954 AU
Excentricita: 0,634
Sklon dráhy: 13,3°
Délka vzestupného uzlu: 0,4°
Argument perihelia: 206,9°
Střední anomálie: 355,2°
Epocha: 2025 MAR 21 02:44:57
orbit plot

NeinteraktivnĂ­ graf | InteraktivnĂ­ graf

position vs time
speed and acceleration