🇳🇴 🇬🇧 🇩🇪 🇨🇿 🇫🇮

Meteor, poloha: Lærdalsøyri 2025-03-21 19:58:33 UTC

Soubor KML  |  InteraktivnĂ­ mapa

Mapa zobrazuje dráhy meteoru. Světlejší čáry ukazují směry od pozorovacích stanic při objevení se meteoru a tmavší čáry, kde byl naposledy viděn. Modrá šipka značí viditelnou dráhu meteoru.

static map
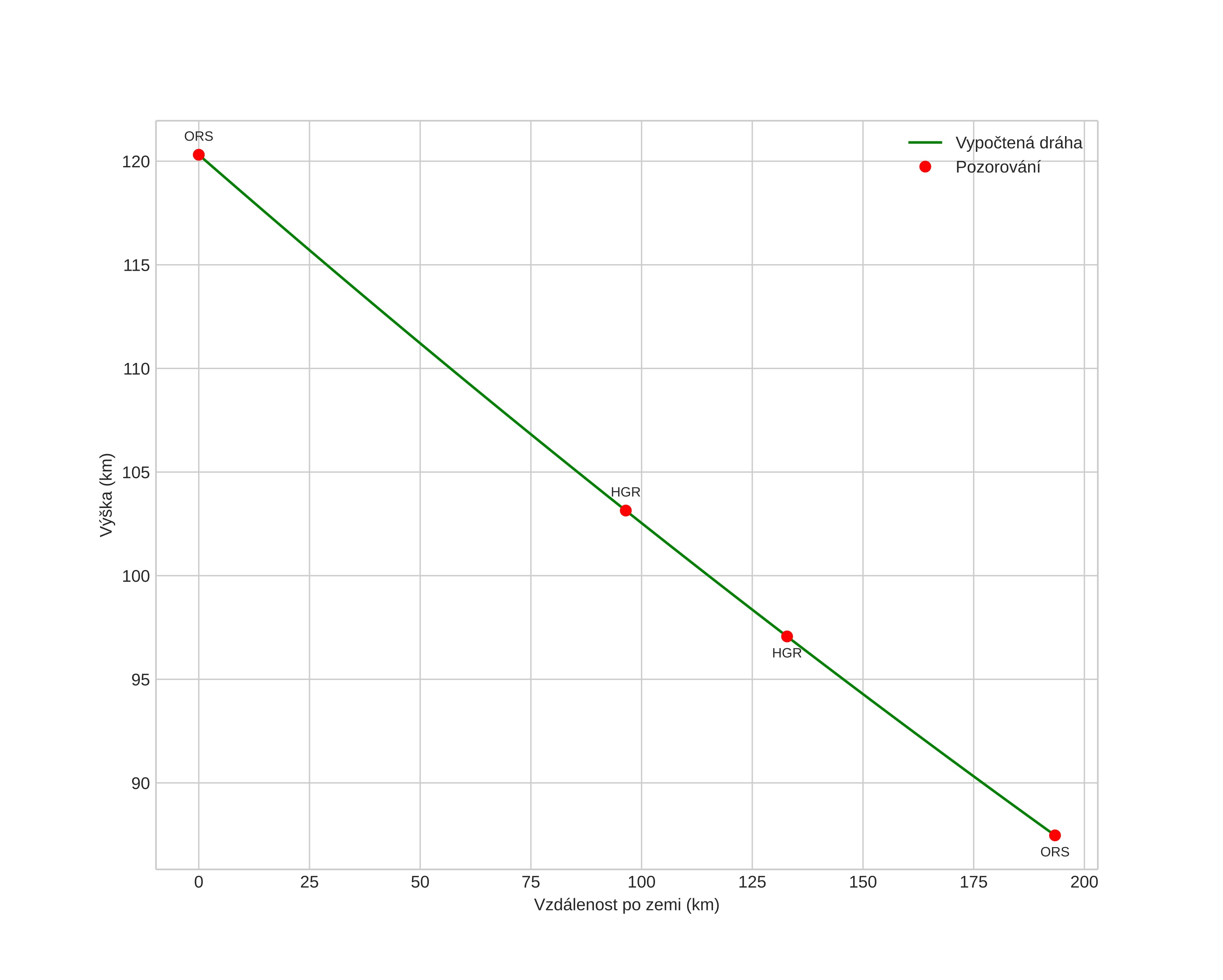
height profile
Atmosférická dráha meteoru:
Počáteční výška: 104,6 km
Konečná výška: 95,6 km
Počáteční poloha: 61,525N 7,936E
Konečná poloha: 61,090N 7,508E
Směr: 205,5°
Sklon: 9,5°
VstupnĂ­ rychlost: 48,5 km/s
Rektascenze radiantu: 18:25 (276,4°)
Deklinace radiantu: 33,5°
MeteorickĂ˝ roj: sporadickĂ˝
Elementy dráhy meteoroidu:
Vzdálenost v periheliu: 0,983 AU
Excentricita: 0,787
Sklon dráhy: 83,6°
Délka vzestupného uzlu: 1,1°
Argument perihelia: 165,6°
Střední anomálie: 1,1°
Epocha: 2025 MAR 21 19:58:33
orbit plot

NeinteraktivnĂ­ graf | InteraktivnĂ­ graf

position vs time
speed and acceleration