🇳🇴 🇬🇧 🇩🇪 🇨🇿 🇫🇮

Meteor, poloha: Gaupne 2025-03-21 20:43:38 UTC

Soubor KML  |  InteraktivnĂ­ mapa

Mapa zobrazuje dráhy meteoru. Světlejší čáry ukazují směry od pozorovacích stanic při objevení se meteoru a tmavší čáry, kde byl naposledy viděn. Modrá šipka značí viditelnou dráhu meteoru.

static map
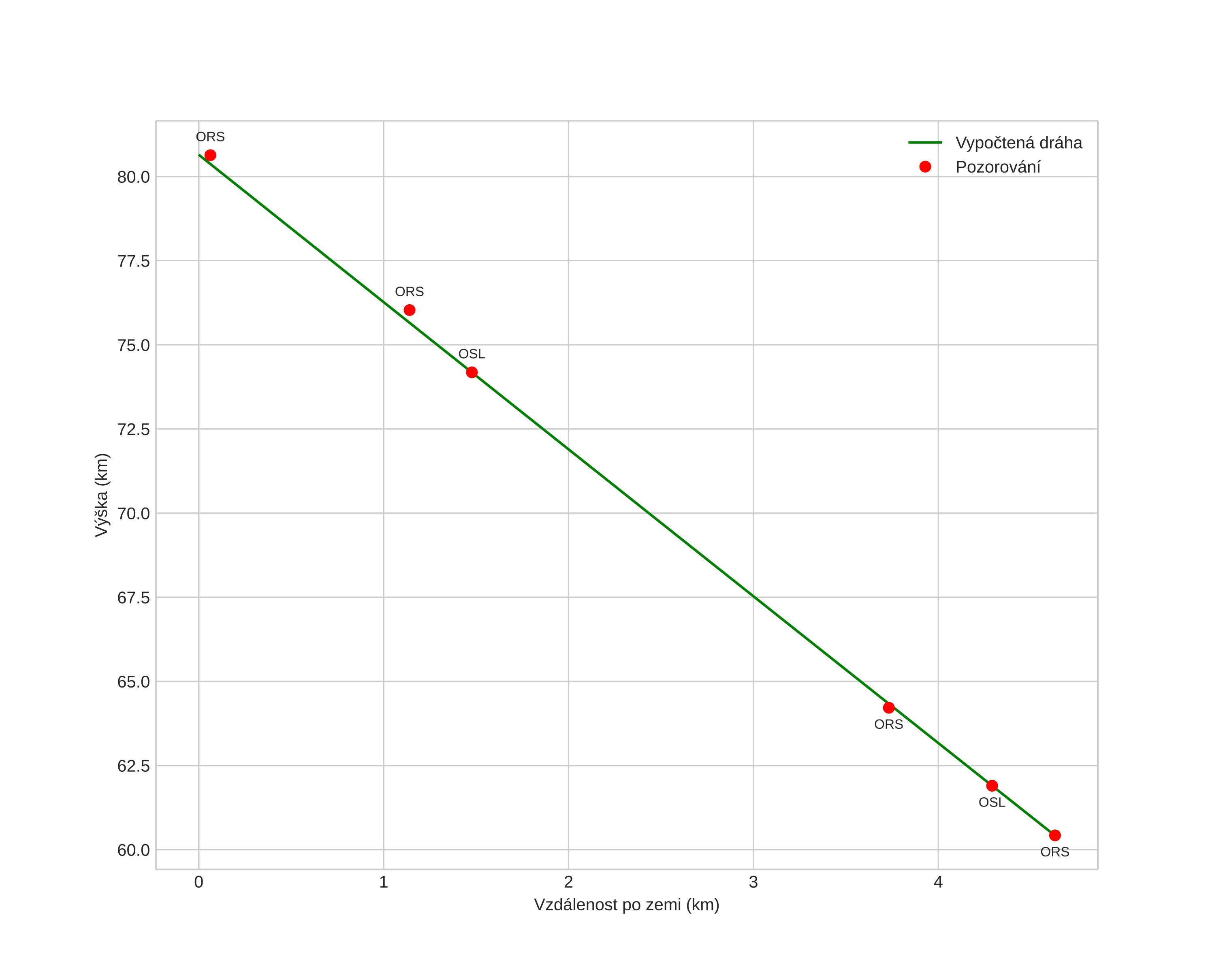
height profile
Atmosférická dráha meteoru:
Počáteční výška: 78,5 km
Konečná výška: 61,4 km
Počáteční poloha: 61,631N 7,466E
Konečná poloha: 61,580N 7,458E
Směr: 184,3°
Sklon: 71,8°
VstupnĂ­ rychlost: 16,5 km/s
Rektascenze radiantu: 09:27 (141,9°)
Deklinace radiantu: 82,5°
MeteorickĂ˝ roj: sporadickĂ˝
Elementy dráhy meteoroidu:
Vzdálenost v periheliu: 0,996 AU
Excentricita: 0,553
Sklon dráhy: 16,7°
Délka vzestupného uzlu: 1,1°
Argument perihelia: 182,8°
Střední anomálie: 359,3°
Epocha: 2025 MAR 21 20:43:38
orbit plot

NeinteraktivnĂ­ graf | InteraktivnĂ­ graf

position vs time
speed and acceleration