🇳🇴 🇬🇧 🇩🇪 🇨🇿 🇫🇮

Meteor, poloha: Stavern 2025-03-21 21:16:15 UTC

Soubor KML  |  InteraktivnĂ­ mapa

Mapa zobrazuje dráhy meteoru. Světlejší čáry ukazují směry od pozorovacích stanic při objevení se meteoru a tmavší čáry, kde byl naposledy viděn. Modrá šipka značí viditelnou dráhu meteoru.

static map
height profile
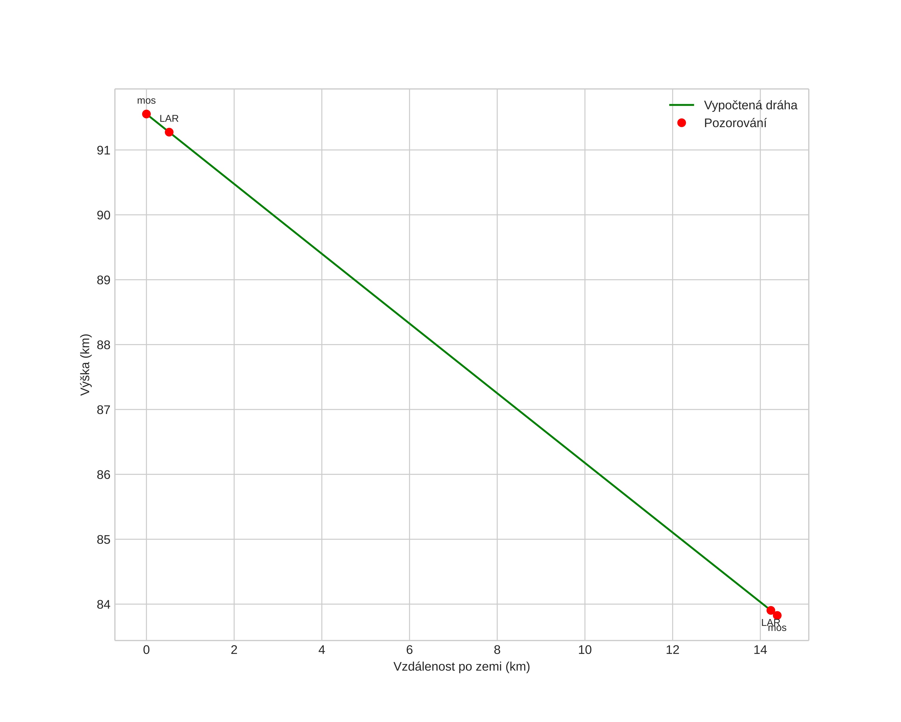
Atmosférická dráha meteoru:
Počáteční výška: 93,2 km
Konečná výška: 82,6 km
Počáteční poloha: 58,871N 10,225E
Konečná poloha: 58,992N 9,985E
Směr: 314,4°
Sklon: 28,8°
VstupnĂ­ rychlost: 29,1 km/s
Rektascenze radiantu: 12:32 (188,0°)
Deklinace radiantu: 3,1°
MeteorickĂ˝ roj: sporadickĂ˝
Elementy dráhy meteoroidu:
Vzdálenost v periheliu: 0,473 AU
Excentricita: 0,820
Sklon dráhy: 5,8°
Délka vzestupného uzlu: 1,2°
Argument perihelia: 279,6°
Střední anomálie: 349,9°
Epocha: 2025 MAR 21 21:16:15
orbit plot

NeinteraktivnĂ­ graf | InteraktivnĂ­ graf

position vs time
speed and acceleration