🇳🇴 🇬🇧 🇩🇪 🇨🇿 🇫🇮

Meteor, poloha: Hvittingfoss 2025-03-21 22:24:08 UTC

Soubor KML  |  InteraktivnĂ­ mapa

Mapa zobrazuje dráhy meteoru. Světlejší čáry ukazují směry od pozorovacích stanic při objevení se meteoru a tmavší čáry, kde byl naposledy viděn. Modrá šipka značí viditelnou dráhu meteoru.

static map
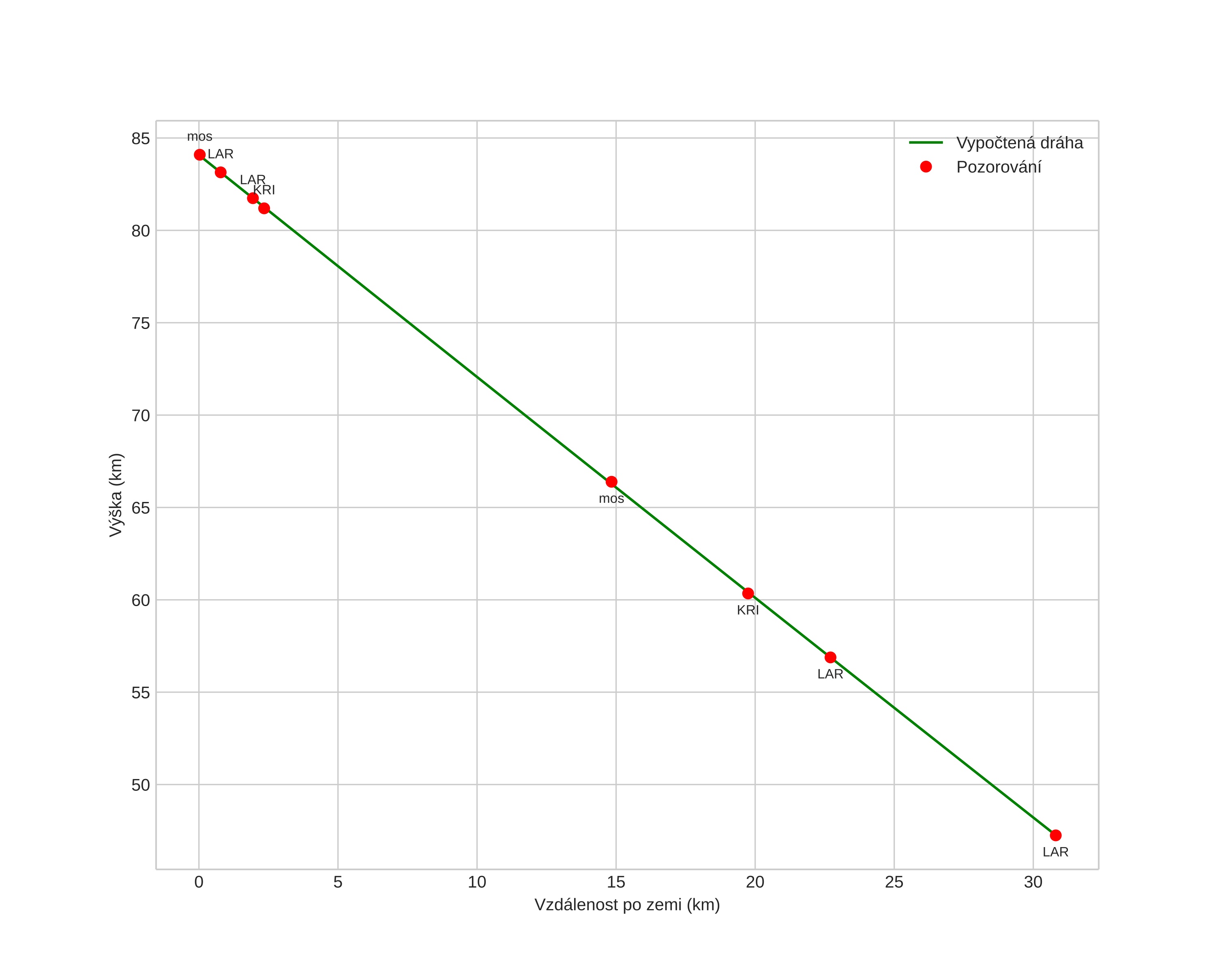
height profile
Atmosférická dráha meteoru:
Počáteční výška: 84,0 km
Konečná výška: 45,5 km
Počáteční poloha: 59,242N 10,049E
Konečná poloha: 59,531N 10,084E
Směr: 3,5°
Sklon: 50,1°
VstupnĂ­ rychlost: 16,1 km/s
Rektascenze radiantu: 10:46 (161,7°)
Deklinace radiantu: 12,8°
MeteorickĂ˝ roj: sporadickĂ˝
Elementy dráhy meteoroidu:
Vzdálenost v periheliu: 0,875 AU
Excentricita: 0,516
Sklon dráhy: 1,6°
Délka vzestupného uzlu: 1,2°
Argument perihelia: 230,0°
Střední anomálie: 345,0°
Epocha: 2025 MAR 21 22:24:08
orbit plot

NeinteraktivnĂ­ graf | InteraktivnĂ­ graf

position vs time
speed and acceleration

Moss (mos) cam7


gnomonic
Videa
• Gnomonická
• Gnomonická se souřadnicemi
• Původní
• Původní se souřadnicemi
Obrázky
• Gnomonická
• Gnomonická se souřadnicemi
• Původní
• Původní se souřadnicemi
Textové soubory
• Detekce
• Pozorování
• Souřadnice
• Protokol
Jasnost