🇳🇴 🇬🇧 🇩🇪 🇨🇿 🇫🇮

Meteor, poloha: Rødberg 2025-03-22 02:48:40 UTC

Soubor KML  |  InteraktivnĂ­ mapa

Mapa zobrazuje dráhy meteoru. Světlejší čáry ukazují směry od pozorovacích stanic při objevení se meteoru a tmavší čáry, kde byl naposledy viděn. Modrá šipka značí viditelnou dráhu meteoru.

static map
height profile
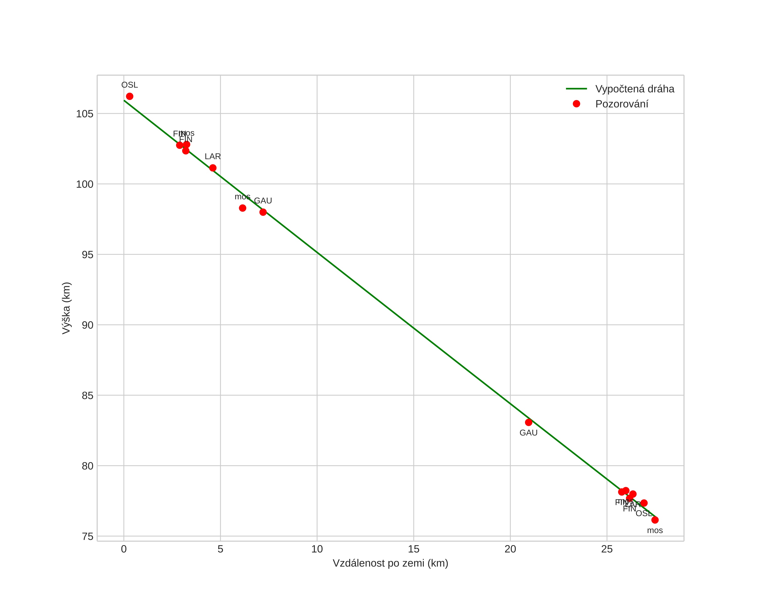
Atmosférická dráha meteoru:
Počáteční výška: 105,9 km
Konečná výška: 75,4 km
Počáteční poloha: 60,258N 8,486E
Konečná poloha: 60,409N 8,900E
Směr: 53,5°
Sklon: 47,1°
VstupnĂ­ rychlost: 34,1 km/s
Rektascenze radiantu: 12:47 (191,8°)
Deklinace radiantu: 24,7°
MeteorickĂ˝ roj: sporadickĂ˝
Elementy dráhy meteoroidu:
Vzdálenost v periheliu: 0,606 AU
Excentricita: 1,115
Sklon dráhy: 26,0°
Délka vzestupného uzlu: 1,4°
Argument perihelia: 255,1°
Střední anomálie: -2,9°
Epocha: 2025 MAR 22 02:48:40
orbit plot

NeinteraktivnĂ­ graf | InteraktivnĂ­ graf

position vs time
speed and acceleration