🇳🇴 🇬🇧 🇩🇪 🇨🇿 🇫🇮

Meteor, poloha: Berger 2025-03-22 20:00:48 UTC

Soubor KML  |  InteraktivnĂ­ mapa

Mapa zobrazuje dráhy meteoru. Světlejší čáry ukazují směry od pozorovacích stanic při objevení se meteoru a tmavší čáry, kde byl naposledy viděn. Modrá šipka značí viditelnou dráhu meteoru.

static map
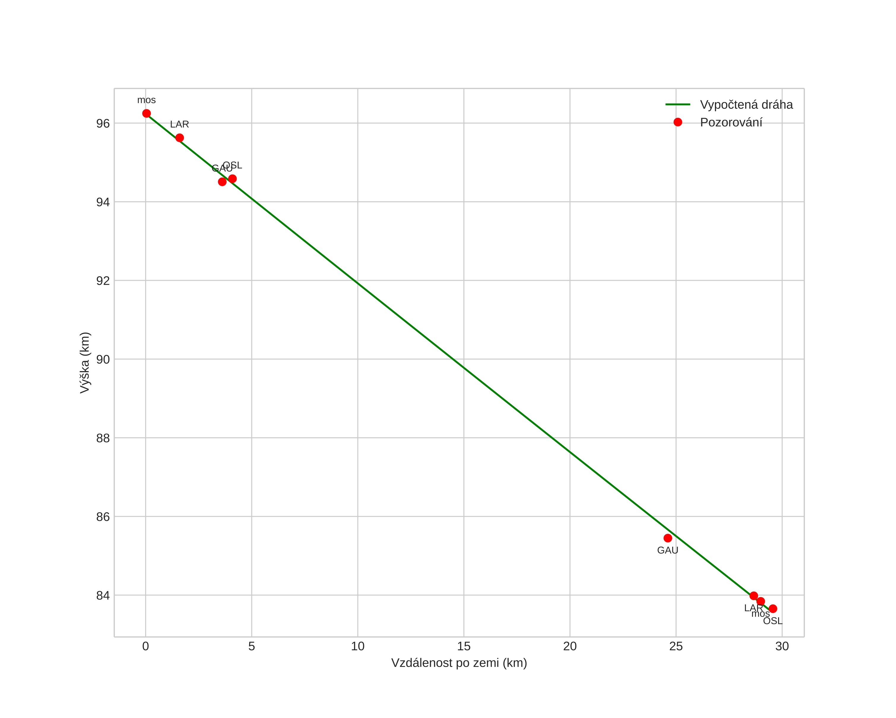
height profile
Atmosférická dráha meteoru:
Počáteční výška: 96,1 km
Konečná výška: 83,5 km
Počáteční poloha: 59,696N 10,762E
Konečná poloha: 59,536N 10,342E
Směr: 233,3°
Sklon: 23,1°
VstupnĂ­ rychlost: 42,7 km/s
Rektascenze radiantu: 16:10 (242,7°)
Deklinace radiantu: 37,1°
MeteorickĂ˝ roj: sporadickĂ˝
Elementy dráhy meteoroidu:
Vzdálenost v periheliu: 0,838 AU
Excentricita: 0,820
Sklon dráhy: 68,4°
Délka vzestupného uzlu: 2,1°
Argument perihelia: 229,8°
Střední anomálie: 356,8°
Epocha: 2025 MAR 22 20:00:48
orbit plot

NeinteraktivnĂ­ graf | InteraktivnĂ­ graf

position vs time
speed and acceleration