🇳🇴 🇬🇧 🇩🇪 🇨🇿 🇫🇮

Meteor, poloha: Seljord 2025-03-22 20:07:19 UTC

Soubor KML  |  InteraktivnĂ­ mapa

Mapa zobrazuje dráhy meteoru. Světlejší čáry ukazují směry od pozorovacích stanic při objevení se meteoru a tmavší čáry, kde byl naposledy viděn. Modrá šipka značí viditelnou dráhu meteoru.

static map
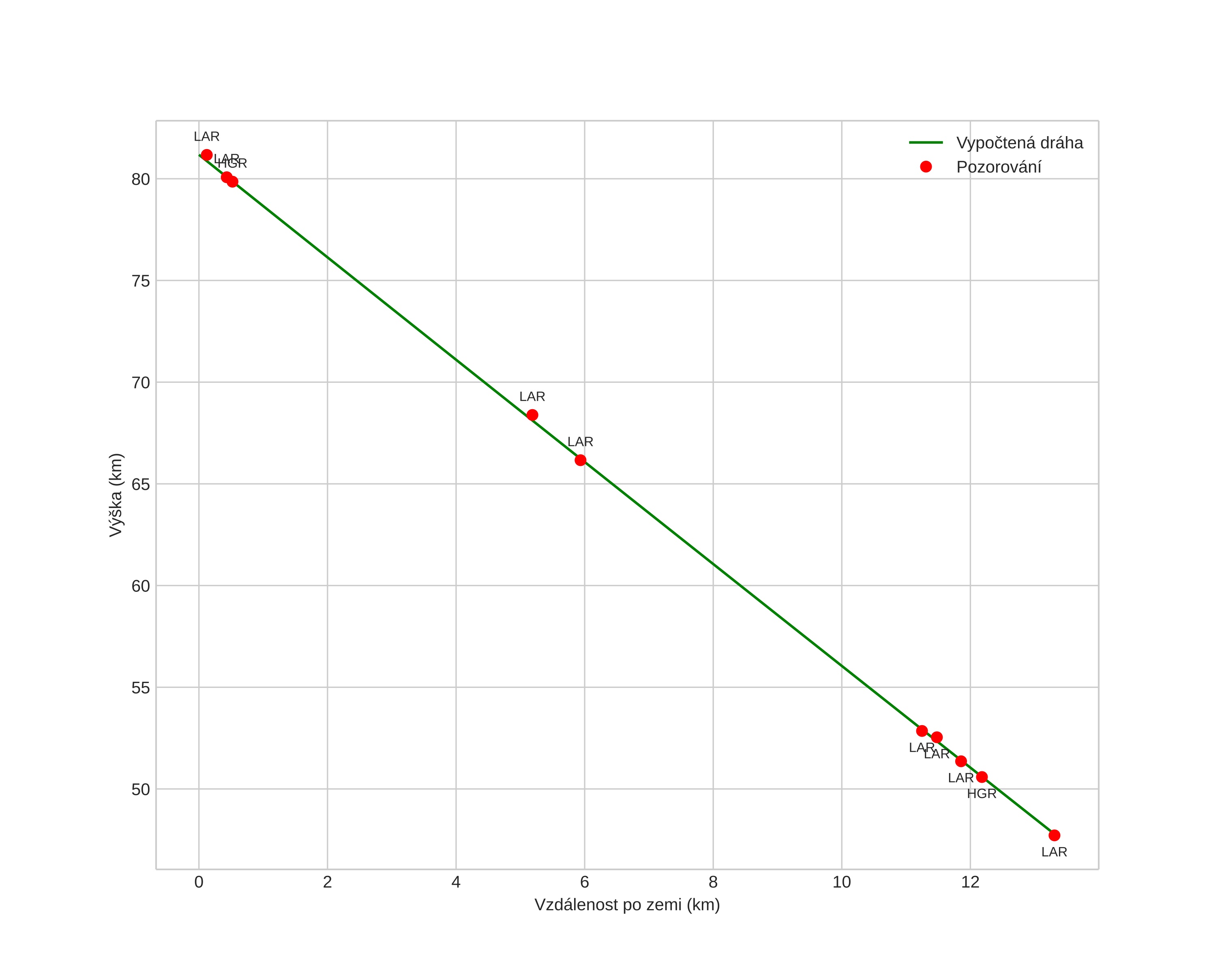
height profile
Atmosférická dráha meteoru:
Počáteční výška: 82,0 km
Konečná výška: 47,4 km
Počáteční poloha: 59,671N 8,423E
Konečná poloha: 59,613N 8,640E
Směr: 117,8°
Sklon: 68,3°
VstupnĂ­ rychlost: 14,3 km/s
Rektascenze radiantu: 04:53 (73,4°)
Deklinace radiantu: 60,3°
MeteorickĂ˝ roj: sporadickĂ˝
Elementy dráhy meteoroidu:
Vzdálenost v periheliu: 0,992 AU
Excentricita: 0,576
Sklon dráhy: 8,5°
Délka vzestupného uzlu: 2,1°
Argument perihelia: 171,4°
Střední anomálie: 1,9°
Epocha: 2025 MAR 22 20:07:19
orbit plot

NeinteraktivnĂ­ graf | InteraktivnĂ­ graf

position vs time
speed and acceleration