🇳🇴 🇬🇧 🇩🇪 🇨🇿 🇫🇮

Meteor Andenesin yllä 2025-03-22 21:01:56 UTC

KML-tiedosto  |  Interaktiivinen kartta

Kartta näyttää meteorin suuntahavainnot. Vaaleammat viivat näyttävät suunnat havaintoasemilta meteorin ilmestyessä, ja tummemmat viivat näyttävät, missä se viimeksi nähtiin. Sininen nuoli näyttää meteorin näkyvän lennon.

static map
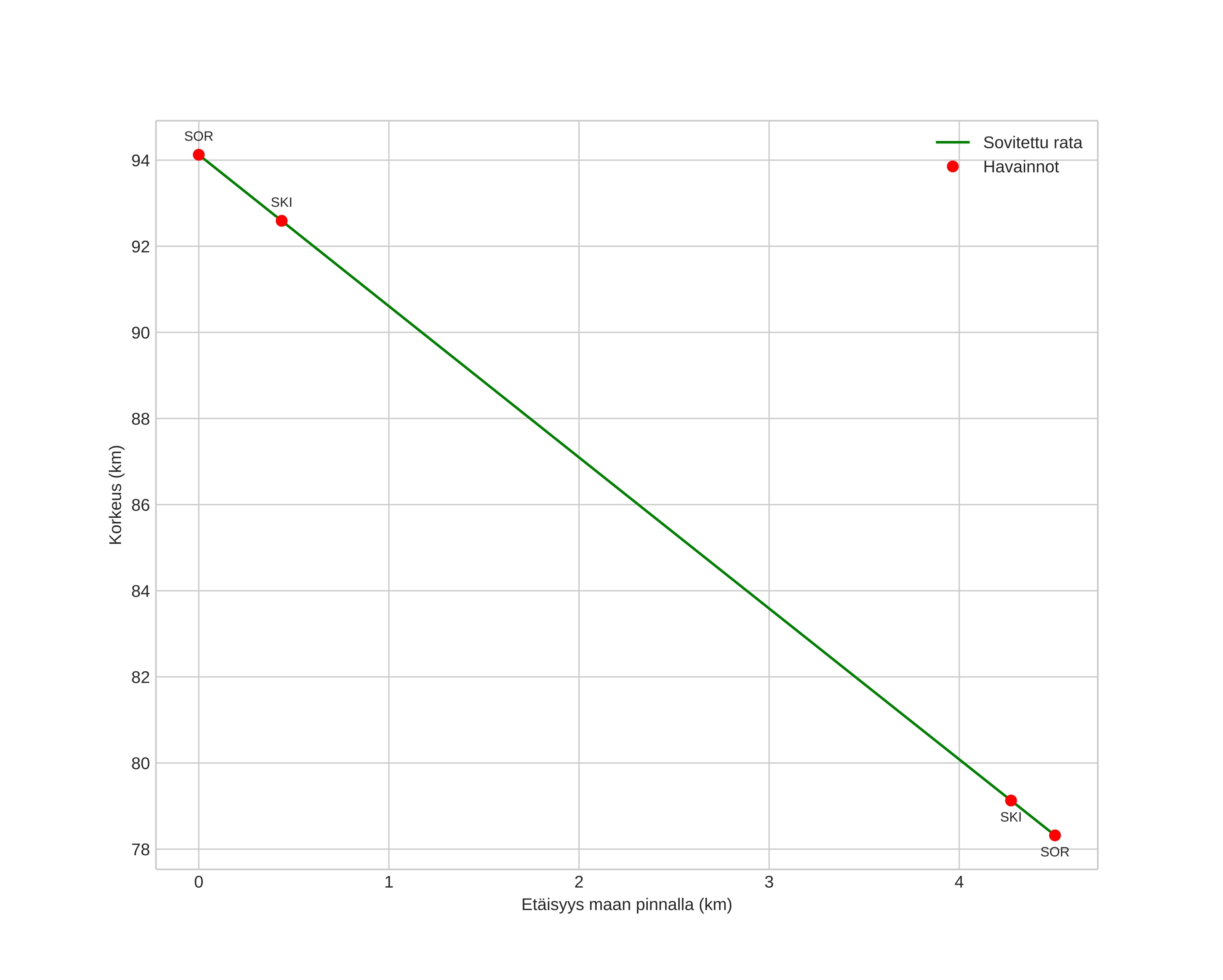
height profile
Meteorin ilmakehärata:
Alkukorkeus: 93,4 km
Loppukorkeus: 78,3 km
Alkupiste: 69,254N 16,542E
Loppupiste: 69,245N 16,438E
Suunta: 257,3°
Kallistuskulma: 74,5°
Tulonopeus: 19,8 km/s
Radiantin R,A,: 13:07 (196,8°)
Radiantin Dekl,: 66,9°
Meteoriparvi: Sporadinen
Meteoroidin rataelementit:
Perihelietäisyys: 0,969 AU
Eksentrisyys: 0,611
Inklinaatio: 22,9°
Nousevan solmun pituus: 2,1°
Perihelin argumentti: 202,1°
Keskianomalia: 355,7°
Epookki: 2025 MAR 22 21:01:56
orbit plot

Ei-interaktiivinen kuvaaja | Interaktiivinen kuvaaja

position vs time
speed and acceleration